Uzupełnij zdanie właściwym procentem.
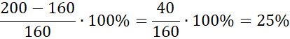
Kwota 200 zł to o 25 % więcej niż 160 zł.
Oblicz, o ile procent większa jest 200 od 160:
Ćwiczenie 1.
Podpunkt a)
Podpunkt b)
Podpunkt c)
Podpunkt d)
Ćwiczenie 2.
Ćwiczenie 3.
Ćwiczenie 4.
Podpunkt e)
Podpunkt f)
Podpunkt g)
Podpunkt h)
Podpunkt i)
Podpunkt j)
Ćwiczenie 5.
Ćwiczenie 6.