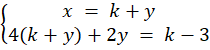
W tym zadaniu musisz wyznaczyć takie k, aby rozwiązania układu
Na początku z układu wyznacz wartości x i y zależne od parametru k, a następnie podstaw wyliczone x i y do warunku.
Zadanie 1.
113Zadanie 2.
113Zadanie 4.
113Zadanie 5.
113Zadanie 8.
114Zadanie 9.
114Zadanie 10.
114Zadanie 11.
114Zadanie 12.
114Zadanie 13.
114Zadanie 15.
115Zadanie 16.
115Zadanie 18.
115Zadanie 19.
115Zadanie 20.
116Zadanie 23.
116Zadanie 27.
117Zadanie 28.
117Zadanie 35.
117Zadanie 1.
118Zadanie 2.
118Zadanie 3.
118Zadanie 4.
118Zadanie 5.
118Zadanie 6.
118Zadanie 7.
119Zadanie 13.
119Zadanie 14.
120Zadanie 15.
120Zadanie 16.
120Zadanie 18.
120Zadanie 19.
120Zadanie 21.
120Zadanie 23.
121Zadanie 24.
121Zadanie 26.
121Zadanie 27.
121Zadanie 29.
121Zadanie 30.
121Zadanie 31.
122Zadanie 36.
122Zadanie 37.
122Zadanie 1.
123Zadanie 2.
123Zadanie 3.
123Zadanie 4.
123Zadanie 5.
123Zadanie 6.
123Zadanie 7.
124Zadanie 8.
124Zadanie 9.
124Zadanie 10.
124Zadanie 12.
124Zadanie 13.
124Zadanie 14.
124Zadanie 16.
125Zadanie 17.
125Zadanie 18.
125Zadanie 21.
125Zadanie 25.
126Zadanie 27.
126Zadanie 30.
126Zadanie 31.
126Zadanie 8.
128Zadanie 6.
132Zadanie 35.
136Zadanie 2.
137Zadanie 6.
137Zadanie 7.
137Zadanie 10.
138Zadanie 11.
138Zadanie 12.
138Zadanie 13.
138Zadanie 18.
139Zadanie 20.
139Zadanie 23.
140Zadanie 24.
140Zadanie 27.
140