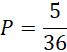
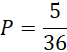
| I rzut/ II rzut | 1 oczko | 2 oczka | 3 oczka | 4 oczka | 5 oczek | 6 oczek |
| 1 oczko | (1, 1) | (1, 2) | (1, 3) | (1, 4) | (1, 5) | (1, 6) |
| 2 oczka | (2, 1) | (2, 2) | (2, 3) | (2, 4) | (2, 5) | (2, 6) |
| 3 oczka | (3, 1) | (3, 2) | (3, 3) | (3, 4) | (3, 5) | (3, 6) |
| 4 oczka | (4, 1) | (4, 2) | (4, 3) | (4, 4) | (4, 5) | (4, 6) |
| 5 oczek | (5, 1) | (5, 2) | (5, 3) | (5, 4) | (5, 5) | (5, 6) |
| 6 oczek | (6, 1) | (6, 2) | (6, 3) | (6, 4) | (6, 5) | (6, 6) |
Zdarzenia elementarne sprzyjające zdarzeniu, że suma oczek wynosi 8: (2, 6), (6, 2), (3, 5), (5, 3), (4, 4)