Skul.pl
  • Opracowania zadań z podręczników
  • Matematyka z plusem. Klasa 6. Zeszyt ćwiczeń - pytania i odpowiedzi.
  • Zadanie 4.

Matematyka z plusem. Klasa 6. Zeszyt ćwiczeń - pytania i odpowiedzi.

Podręcznik, Wydawnictwo: GWO
Poprzednie

Zadanie 4. - strona 28

Następne

Zadanie

Przekątne to odcinki, które łączą dwa wierzchołki danego wielokąta. Wierzchołki te nie mogą leżeć na jednym boku.

Rozwiązanie

zoom

Skul

Wyjaśnienie

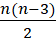
Istnieje wzór, którym można obliczyć ilość przekątnych:

, gdzie n to liczba wierzchołków wielokąta.

Poprzednie
Następne

Matematyka - wybrane pytania

Zadanie 6, strona 51, Matematyka 4. Zbiór zadań do liceów i techników. Zakres podstawowy
Ćwiczenie 3., strona 113, Matematyka z plusem. Klasa 5. Zeszyt ćwiczeń. Wersja C - rozwiązania i odpowiedzi
Zadanie 3, strona 52, Matematyka. Klasa 2. Podręcznik. Zakres rozszerzony – rozwiązania i odpowiedzi
Zadanie 5., strona 176, MATeMAtyka. Klasa 3. Zbiór zadań. Zakres podstawowy – rozwiązania i odpowiedzi
Zadanie S1., strona 265, Matematyka z Plusem. Klasa 1. Podręcznik. Poziom rozszerzony – rozwiązania i odpowiedzi
Zadanie Super zagadka, strona 66, Matematyka z plusem. Klasa 6. Podręcznik - rozwiązania i odpowiedzi
Ćwiczenie 8, strona 115, Matematyka z kluczem. Klasa 5. Zeszyt ćwiczeń - rozwiązania i odpowiedzi
Zadanie Czy już umiem? II, strona 30, Matematyka z kluczem. Klasa 6. Podręcznik. Część 2 - rozwiązania i odpowiedzi
Zadanie 10, strona 117, Matematyka. Klasa 2. Zbiór zadań. Zakres rozszerzony – rozwiązania i odpowiedzi
Zadanie 4.2., strona 32, Prosto do matury 3. Podręcznik do matematyki dla liceum ogólnokształcącego i technikum. Zakres podstawowy
REKLAMA
Skul
Zadania z tego działu
Figury na płaszczyźnie
23
Proste i odcinki
23

Zadanie 1

23

Podpunkt a)

23

Podpunkt b)

23

Podpunkt c)

23

Zadanie 2

23

Zadanie 3

23

Podpunkt a)

23

Podpunkt b)

23

Podpunkt c)

23

Zadanie 4

23
Okręgi i koła
24

Zadanie 1.

24

Zadanie 2

24

Zadanie 3

24

Zadanie 4

24

Zadanie 5

24

Zadanie 6

25
Trójkąty
25

Zadanie 1.

25

Zadanie 2

25

Zadanie 3

25

Zadanie 4

26

Zadanie 5.

26

Zadanie 6.

26

Zadanie 7.

26

Zadanie 8.

27
Czworokąty i inne wielokąty
27

Zadanie 1.

27

Zadanie 2.

27

Zadanie 3.

27

Zadanie 4.

28

Zadanie 5.

28

Zadanie 6.

28

Zadanie 7.

28

Zadanie 8.

28

Podpunkt a)

28

Podpunkt b)

28

Podpunkt c)

28
Kąty
29

Zadanie 1.

29

Zadanie 2.

29

Zadanie 3.

29
Kąty w trójkątach i czworokątach.
29

Zadanie 1.

29

Zadanie 2.

29

Podpunkt a)

29

Podpunkt b)

29

Zadanie 3.

30

Zadanie 4.

30
Sprawdź, ile umiesz
30

Zadanie 1.

30

Zadanie 2.

30

Zadanie 3.

31

Zadanie 4.

31

Zadanie 5.

31

Zadanie Zagadka nr 2.

31
Pełny spis treści
Skul
Artboard 1
Skul.pl
  • Napisz do nas
  • FAQ
  • Mapa Serwisu
  • Google Play
  • App Store

Korzystanie z portalu oznacza akceptację Regulaminu.
Polityka prywatności. Ustawienia preferencji. Copyright: INTERIA.PL 1999-2023 Wszystkie prawa zastrzeżone.