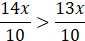
Podczas zajęć Zielonej Szkoły dziewczęta podzielono po równo na 10 grup, a chłopców po równo na 5 grup.
Liczniejsze są grupy chłopców.
20x -
13x - liczba dziewczynek
7x - liczba chłopców
Aby ułatwić porównywanie powyższych danych, należy sprowadzić ułamki do jednego mianownika:
Zadanie 1
11Zadanie 3
11Zadanie 5
11Zadanie 6
11Zadanie 7
12Zadanie 8
12Zadanie 11
12Zadanie 14
12Zadanie 15
13Zadanie 16
13Zadanie 17
13Zadanie 18
13Zadanie 19
13Ćwiczenie A
14Zadanie 1
16Zadanie 2
16Zadanie 4
16Zadanie 5
16Zadanie 6
16Zadanie 7
17Zadanie 8
17Zadanie 1
20Zadanie 2
20Zadanie 3
20Zadanie 5
20Zadanie 8
21Zadanie 10
22Zadanie 12
22Zadanie 13
22Zadanie 14
22Zadanie 15
23Zadanie 1
25Zadanie 2
25Zadanie 5
25Zadanie 6
26Zadanie 7
26Zadanie 11
26Zadanie 13
27Zadanie 14
27Zadanie 15
27Zadanie 16
27Zadanie 1
29Zadanie 2
29Zadanie 5
30Zadanie 7
30Zadanie 9
30Zadanie 11
31Zadanie 14
31Zadanie 15
31Zadanie 17
31Zadanie 18
31Zadanie 19
32Zadanie 20
32Zadanie 21
32Zadanie 22
32Zadanie 23
32Zadanie 24
32Zadanie 26
33Zadanie 27
33Zadanie 28
33Zadanie 29
33Zadanie 1
35Zadanie 2
35Zadanie 4
35Zadanie 5
35Zadanie 6
35Zadanie 7
35Zadanie 8
36Zadanie 15
36Ćwiczenie A
38Zadanie 1
39Zadanie 2
39Zadanie 3
39Zadanie 4
39Zadanie 5
39Zadanie 7
40Zadanie 8
40Zadanie 9
39Zadanie 10
40Zadanie 11
40Zadanie 14
41Zadanie 15
41Ćwiczenie A
42Ćwiczenie E
43Zadanie 1
43Zadanie 2
44Zadanie 3
44Zadanie 4
44Zadanie 5
44Zadanie 6
44Zadanie 7
44Zadanie 8
44Zadanie 9
44Zadanie 10
45Zadanie 2
46Zadanie 3
46Zadanie 5
46Zadanie 1
48Zadanie 2
48Zadanie 3
48Zadanie 6
48Zadanie 7
48Zadanie 8
48Zadanie 9
48Zadanie 11
48Zadanie 12
49Zadanie 13
49Zadanie 17
49Zadanie 20
49Zadanie 21
49Zadanie 22
49Zadanie 24
50Zadanie 25
50Zadanie 27
50Zadanie 28
50Zadanie 29
50Zadanie 31
50Zadanie 32
50Zadanie 33
50Zadanie 34
50Zadanie 35
51Zadanie 36
51Zadanie 37
51Zadanie 38
51Zadanie 40
51Zadanie 41
51Zadanie 42
51Zadanie 43
51Zadanie 45
51Zadanie 46
52Zadanie 47
52Zadanie 48
52Zadanie 49
52Zadanie 50
52Zadanie 51
52Zadanie 52
52Zadanie 53
52Zadanie 54
53Zadanie 56
52Zadanie 59
53Zadanie 67
54Zadanie 68
54Zadanie 69
54Zadanie 70
54Zadanie 72
54Zadanie 73
54Zadanie 74
54Zadanie 75
54