Sprowadź ułamki do wspólnego licznika lub mianownika i je porównaj.
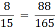
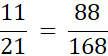
Czerwony odcinek:
11 części jest czerwonych. Wszystkich części jest 21.
Niebieski odcinek:
8 części jest niebieskich. Wszystkich części jest 15.
Doprowadź ułamki do wspólnego licznika.
Jeżeli ułamki mają ten sam licznik, to większy jest ten, który ma mniejszy mianownik.
165 < 168
Niebieski odcinek jest dłuższy.
Zapisz ułamki i porównaj je. Doprowadź do ułamki do wspólnego licznika lub mianownika i je porównaj. Jeżeli ułamki mają ten sam licznik, to większy jest ten, który ma mniejszy mianownik. Jeżeli dwa ułamki mają ten sam mianownik, to większy jest ten, który ma większy licznik.
Ćwiczenie Ćwiczenie B.
68Ćwiczenie Ćwiczenie D.
69Zadanie 1
70Zadanie 3.
70Zadanie 4.
70Zadanie 5.
70Zadanie 7.
71Zadanie 8.
71Zadanie 10
71Ćwiczenie Ćwiczenie A.
72Zadanie 1.
73Zadanie 2.
74Zadanie 3.
74Zadanie 4.
74Zadanie 5.
74Ćwiczenie Ćwiczenie A.
75Ćwiczenie Ćwiczenie B.
76Zadanie 4.
77Zadanie 5.
77Zadanie 6.
77Zadanie 7.
77Zadanie 8.
77Ćwiczenie Ćwiczenie A.
78Ćwiczenie Ćwiczenie B.
78Zadanie 1.
79Zadanie 2
79Zadanie 6
79Zadanie 7.
80Ćwiczenie Ćwiczenie A.
81Ćwiczenie Ćwiczenie B.
81Ćwiczenie Ćwiczenie C.
82Ćwiczenie Ćwiczenie D.
82Zadanie 1
83Zadanie 3.
83Zadanie 4.
83Zadanie 6
83Zadanie 8
84Zadanie 10.
84Ćwiczenie Ćwiczenie A.
85Zadanie 1.
85Zadanie 2
85Zadanie 3.
86Zadanie 5
86Zadanie 6.
86Zadanie 11
87Zadanie Super zagadka
87Ćwiczenie Ćwiczenie A
88Ćwiczenie Ćwiczenie B.
88Zadanie 1.
89Zadanie 2.
89Zadanie 4.
89Zadanie 6.
89Zadanie 9.
90Zadanie Super zagadka
90Ćwiczenie Ćwiczenie A
91Ćwiczenie Ćwiczenie B.
91Zadanie 1.
91Zadanie 2.
91Zadanie 1
95Zadanie 2.
97Zadanie 3.
95Zadanie 4.
94Zadanie 8.
95Ćwiczenie Ćwiczenie A.
96Zadanie 1.
97Zadanie 3.
97Zadanie 1.
99Zadanie 5.
99Zadanie 8.
100Zadanie 9.
100