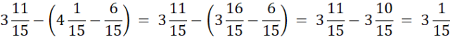
Wykonaj odejmowanie.
Odejmij licznik od licznika, a mianownik pozostaw bez zmian. Pamiętaj, że najpierw się wykonuje działania w nawiasach. Liczby całkowite znajdujące się przed ułamkami odejmij od siebie lub dodaj do siebie niezależnie od ułamków.
Ćwiczenie Ćwiczenie B.
68Ćwiczenie Ćwiczenie D.
69Zadanie 1
70Zadanie 3.
70Zadanie 4.
70Zadanie 5.
70Zadanie 7.
71Zadanie 8.
71Zadanie 10
71Ćwiczenie Ćwiczenie A.
72Zadanie 1.
73Zadanie 2.
74Zadanie 3.
74Zadanie 4.
74Zadanie 5.
74Ćwiczenie Ćwiczenie A.
75Ćwiczenie Ćwiczenie B.
76Zadanie 4.
77Zadanie 5.
77Zadanie 6.
77Zadanie 7.
77Zadanie 8.
77Ćwiczenie Ćwiczenie A.
78Ćwiczenie Ćwiczenie B.
78Zadanie 1.
79Zadanie 2
79Zadanie 6
79Zadanie 7.
80Ćwiczenie Ćwiczenie A.
81Ćwiczenie Ćwiczenie B.
81Ćwiczenie Ćwiczenie C.
82Ćwiczenie Ćwiczenie D.
82Zadanie 1
83Zadanie 3.
83Zadanie 4.
83Zadanie 6
83Zadanie 8
84Zadanie 10.
84Ćwiczenie Ćwiczenie A.
85Zadanie 1.
85Zadanie 2
85Zadanie 3.
86Zadanie 5
86Zadanie 6.
86Zadanie 11
87Zadanie Super zagadka
87Ćwiczenie Ćwiczenie A
88Ćwiczenie Ćwiczenie B.
88Zadanie 1.
89Zadanie 2.
89Zadanie 4.
89Zadanie 6.
89Zadanie 9.
90Zadanie Super zagadka
90Ćwiczenie Ćwiczenie A
91Ćwiczenie Ćwiczenie B.
91Zadanie 1.
91Zadanie 2.
91Zadanie 1
95Zadanie 2.
97Zadanie 3.
95Zadanie 4.
94Zadanie 8.
95Ćwiczenie Ćwiczenie A.
96Zadanie 1.
97Zadanie 3.
97Zadanie 1.
99Zadanie 5.
99Zadanie 8.
100Zadanie 9.
100