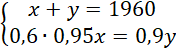
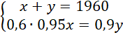
ODP: A.
x – liczba drzew w pierwszy sadzie
y – liczba drzew w drugim sadzie
Łącznie drzew w obu sadach było 1960 więc
Po roku oschło 5% drzew w pierwszy sadzie, więc zostało w nim 95% drzew
W drugim sadzie uschło 10% drzew, więc zostało w nim 90% drzew
Liczba drzew, które pozostały w drugim sadzie, stanowiła 60% liczby drzew, które
pozostały w pierwszym sadzie, zatem
Zatem końcowy układ równań to