Skul.pl
  • Opracowania zadań z podręczników
  • Matura z matematyki. Formuła 2023. Poziom podstawowy. Maj 2024.
  • Zadanie 5

Matura z matematyki. Formuła 2023. Poziom podstawowy. Maj 2024.

Arkusz egzaminacyjny, Wydawnictwo: CKE
Poprzednie

Zadanie 5 - strona 6

Następne

Zadanie

Wybierz właściwe dokończenie zdania.

Rozwiązanie

ODP: B.

Skul

Wyjaśnienie

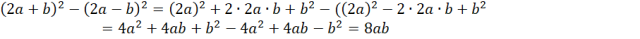
Skorzystaj z wzorów skróconego mnożenia. Uprość wyrażenia podobne.

Poprzednie
Następne

Matematyka - wybrane pytania

Zadanie *40, strona 102, Matematyka z plusem. Klasa 6. Zbiór zadań – rozwiązania i odpowiedzi
Zadanie 6.15., strona 403, Prosto do matury. Matematyka. Klasa 2. Podręcznik. Zakres podstawowy i rozszerzony – rozwiązania i odpowiedzi
Zadanie 33, strona 146, Teraz matura. Klasa 4. Zbiór zadań. Poziom podstawowy – rozwiązania i odpowiedzi
Zadanie 3, strona 193, Matematyka. Klasa 4. Podręcznik - rozwiązania i odpowiedzi
Zadanie 14, strona 175, Matematyka z plusem. Klasa 2. Podręcznik. Zakres rozszerzony – rozwiązania i odpowiedzi
Zadanie 24., strona 189, Matematyka z plusem. Klasa 3. Zbiór zadań. Zakres rozszerzony – rozwiązania i odpowiedzi
Zadanie 5 zamknięte, strona 119, Matematyka wokół nas. Klasa 4. Zbiór zadań - rozwiązania i odpowiedzi
Zadanie 127., strona 173, Matematyka z plusem. Klasa 2. Zbiór zadań. Zakres podstawowy i rozszerzony – rozwiązania i odpowiedzi
Zadanie S1., strona 143, Matematyka z plusem. Klasa 3. Podręcznik. Zakres rozszerzony – rozwiązania i odpowiedzi
Zadanie 5., strona 55, Matematyka. Klasa 7. Zbiór zadań – rozwiązania i odpowiedzi
REKLAMA
Skul
Zadania z tego działu
Zadania maturalne: Matematyka poziom podstawowy
2

Zadania przypisane do działu

Zadanie 1

4

Zadanie 2

4

Zadanie 3

5

Zadanie 4

6

Zadanie 5

6

Zadanie 6

7

Zadanie 7

7

Zadanie 8

8

Zadanie 9

8

Zadanie 10

10

Zadanie 11

11

Zadanie 12

12

Zadanie 13

12

Zadanie 14.1

13

Zadanie 14.2

13

Zadanie 14.3

14

Zadanie 14.4

14

Zadanie 15

16

Zadanie 16

16

Zadanie 17

17

Zadanie 18

18

Zadanie 19

18

Zadanie 20

19

Zadanie 21

19

Zadanie 22

20

Zadanie 23

20

Zadanie 24

21

Zadanie 25.1

22

Zadanie 25.2

23

Zadanie 26

24

Zadanie 27

24

Zadanie 28

25

Zadanie 29

25

Zadanie 30

26

Zadanie 31

27
Pełny spis treści
Skul
Artboard 1
Skul.pl
  • Napisz do nas
  • FAQ
  • Mapa Serwisu
  • Google Play
  • App Store

Korzystanie z portalu oznacza akceptację Regulaminu.
Polityka prywatności. Ustawienia preferencji. Copyright: INTERIA.PL 1999-2023 Wszystkie prawa zastrzeżone.