Skul.pl
  • Opracowania zadań z podręczników
  • Matura z matematyki. Formuła 2023. Poziom podstawowy. Maj 2024.
  • Zadanie 4

Matura z matematyki. Formuła 2023. Poziom podstawowy. Maj 2024.

Arkusz egzaminacyjny, Wydawnictwo: CKE
Poprzednie

Zadanie 4 - strona 6

Następne

Zadanie

Wybierz właściwą odpowiedź.

Rozwiązanie

ODP: C.

Skul

Wyjaśnienie

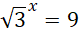
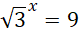
Skorzystaj z definicji logarytmu.

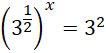
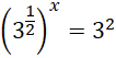
Zamień liczby na potęgi 3. Skorzystaj z działań na potęgach

Podstawy potęg są takie same, więc wykładniki też muszą być takie same.

Poprzednie
Następne

Matematyka - wybrane pytania

Zadanie 8., strona 154, Matematyka. Klasa 2. Zakres podstawowy. Zbiór zadań - rozwiązania i odpowiedzi
Zadanie 13., strona 192, Matematyka. Klasa 8. Zbiór zadań - rozwiązania i odpowiedzi
Zadanie 3.2., strona 79, Matematyka. Klasa 3. Zbiór zadań. Zakres rozszerzony – rozwiązania i odpowiedzi
Ćwiczenie 7., strona 110, Matematyka z plusem. Klasa 5. Zbiór zadań - rozwiązania i odpowiedzi
Zadanie 5, strona 275, Matematyka z plusem. Klasa 2. Podręcznik. Zakres rozszerzony – rozwiązania i odpowiedzi
Zadanie 3, strona 120, Teraz matura. Klasa 4. Zbiór zadań. Poziom podstawowy – rozwiązania i odpowiedzi
Zadanie 5., strona 39, Matematyka z plusem. Klasa 6. Zeszyt ćwiczeń. Wersja A. Część 1 – rozwiązania i odpowiedzi
Zadanie 3., strona 226, MATeMAtyka. Klasa 2. Podręcznik. Zakres podstawowy i rozszerzony – rozwiązania i odpowiedzi
Zadanie 8, strona 4, Matura z matematyki. Arkusz poprawkowy. Poziom podstawowy. Sierpień 2019
Zadanie 5, strona 56, Matematyka. Klasa 5. Podręcznik – rozwiązania i odpowiedzi
REKLAMA
Skul
Zadania z tego działu
Zadania maturalne: Matematyka poziom podstawowy
2

Zadania przypisane do działu

Zadanie 1

4

Zadanie 2

4

Zadanie 3

5

Zadanie 4

6

Zadanie 5

6

Zadanie 6

7

Zadanie 7

7

Zadanie 8

8

Zadanie 9

8

Zadanie 10

10

Zadanie 11

11

Zadanie 12

12

Zadanie 13

12

Zadanie 14.1

13

Zadanie 14.2

13

Zadanie 14.3

14

Zadanie 14.4

14

Zadanie 15

16

Zadanie 16

16

Zadanie 17

17

Zadanie 18

18

Zadanie 19

18

Zadanie 20

19

Zadanie 21

19

Zadanie 22

20

Zadanie 23

20

Zadanie 24

21

Zadanie 25.1

22

Zadanie 25.2

23

Zadanie 26

24

Zadanie 27

24

Zadanie 28

25

Zadanie 29

25

Zadanie 30

26

Zadanie 31

27
Pełny spis treści
Skul
Artboard 1
Skul.pl
  • Napisz do nas
  • FAQ
  • Mapa Serwisu
  • Google Play
  • App Store

Korzystanie z portalu oznacza akceptację Regulaminu.
Polityka prywatności. Ustawienia preferencji. Copyright: INTERIA.PL 1999-2023 Wszystkie prawa zastrzeżone.