Skul.pl
  • Opracowania zadań z podręczników
  • Matura z matematyki. Formuła 2023. Poziom podstawowy. Maj 2024.
  • Zadanie 17

Matura z matematyki. Formuła 2023. Poziom podstawowy. Maj 2024.

Arkusz egzaminacyjny, Wydawnictwo: CKE
Poprzednie

Zadanie 17 - strona 17

Następne

Zadanie

Na podstawie danych z polecenia oblicz różnicę ciągu an.

Rozwiązanie

Skul

Wyjaśnienie

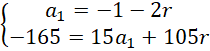
Zapisz trzeci wyraz ciągu jako sumę pierwszego wyrazu i dwóch różnic. Wyznacz z powstałego równania a1

Zapisz wzór na sumę n początkowych wyrazów. Podstaw do niego wyliczony a1 oraz sumę z polecenie (-165). Z powstałego równania wylicz r.

Poprzednie
Następne

Matematyka - wybrane pytania

Ćwiczenie *6, strona 55, Matematyka z plusem. Klasa 8. Zeszyt ćwiczeń – rozwiązania i odpowiedzi
Zadanie 16., strona 53, Matematyka z plusem. Klasa 5. Zeszyt ćwiczeń. Wersja A. Część 3/3 – rozwiązania i odpowiedzi
Zadanie 47, strona 93, Matematyka z plusem. Klasa 6. Zbiór zadań – rozwiązania i odpowiedzi
Zadanie 7., strona 36, Matematyka. Klasa 7. Podręcznik – rozwiązania i odpowiedzi
Ćwiczenie 1., strona 17, Matematyka z plusem. Klasa 8. Zbiór zadań - rozwiązania i odpowiedzi
Zadanie Zadanie sprawdzające 1, strona 63, Matematyka wokół nas. Klasa 6. Podręcznik – rozwiązania i odpowiedzi
Zadanie 45., strona 185, Prosto do matury. Klasa 3. Zakres podstawowy. Podręcznik - rozwiązania i odpowiedzi
Zadanie 2, strona 30, Matematyka z kluczem. Klasa 8. Zeszyt ćwiczeń - rozwiązania i odpowiedzi
Ćwiczenie 3., strona 254, Matematyka. Klasa 8. Podręcznik – rozwiązania i odpowiedzi
Zadanie 18., strona 23, Teraz matura. Klasa 4. Poziom rozszerzony. Zbiór zadań – rozwiązania i odpowiedzi
REKLAMA
Skul
Zadania z tego działu
Zadania maturalne: Matematyka poziom podstawowy
2

Zadania przypisane do działu

Zadanie 1

4

Zadanie 2

4

Zadanie 3

5

Zadanie 4

6

Zadanie 5

6

Zadanie 6

7

Zadanie 7

7

Zadanie 8

8

Zadanie 9

8

Zadanie 10

10

Zadanie 11

11

Zadanie 12

12

Zadanie 13

12

Zadanie 14.1

13

Zadanie 14.2

13

Zadanie 14.3

14

Zadanie 14.4

14

Zadanie 15

16

Zadanie 16

16

Zadanie 17

17

Zadanie 18

18

Zadanie 19

18

Zadanie 20

19

Zadanie 21

19

Zadanie 22

20

Zadanie 23

20

Zadanie 24

21

Zadanie 25.1

22

Zadanie 25.2

23

Zadanie 26

24

Zadanie 27

24

Zadanie 28

25

Zadanie 29

25

Zadanie 30

26

Zadanie 31

27
Pełny spis treści
Skul
Artboard 1
Skul.pl
  • Napisz do nas
  • FAQ
  • Mapa Serwisu
  • Google Play
  • App Store

Korzystanie z portalu oznacza akceptację Regulaminu.
Polityka prywatności. Ustawienia preferencji. Copyright: INTERIA.PL 1999-2023 Wszystkie prawa zastrzeżone.