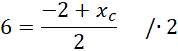
P – punkt przecięcia przekątnych – jest środkiem odcinków AC i BD
C = (xc , yc)
W każdym równoległoboku przekątne przecinają się dokładnie w połowie, zatem punkt P jest środkiem boku AC. Skorzystaj z wzoru na środek odcinka, podstawiając do niego współrzędne punktu P jako środek, oraz A i C jako końce odcinka. Z powstałych równań wylicz współrzędne punktu C.
C = (xc , yc)
Następnie wylicz długość boku BC korzystając z wzoru na długość odcinka.