Skul.pl
  • Opracowania zadań z podręczników
  • Matura z matematyki. Formuła 2023. Poziom podstawowy. Maj 2024.
  • Zadanie 13

Matura z matematyki. Formuła 2023. Poziom podstawowy. Maj 2024.

Arkusz egzaminacyjny, Wydawnictwo: CKE
Poprzednie

Zadanie 13 - strona 12

Następne

Zadanie

Wybierz właściwą odpowiedź spośród podanych.

Rozwiązanie

Skul

Wyjaśnienie

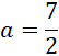
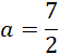
Oblicz miejsce zerowe funkcji f przyrównując jej wzór do zera i rozwiązując powstałe równanie

x = -2 jest też miejsce zerowym funkcji g (zgodnie z poleceniem). Podstaw -2 za x do wzoru funkcji g, przyrównaj do 0 i rozwiąż powstałe równanie.

Poprzednie
Następne

Matematyka - wybrane pytania

Zadanie 5.21., strona 416, Prosto do matury. Klasa 3. Zakres podstawowy. Podręcznik - rozwiązania i odpowiedzi
Zadanie 17., strona 311, Prosto do matury. Matematyka. Klasa 2. Zakres podstawowy. Podręcznik - rozwiązania i odpowiedzi
Przykład 1., strona 17, Matematyka z Plusem. Klasa 4. Podręcznik – rozwiązania i odpowiedzi
Zadanie 32, strona 20, Matura z matematyki. Arkusz dodatkowy. Poziom podstawowy. Czerwiec 2018
Zadanie 7, strona 106, Matematyka wokół nas. Klasa 6. Podręcznik – rozwiązania i odpowiedzi
Zadanie 12, strona 67, Matematyka. Klasa 4. Podręcznik - rozwiązania i odpowiedzi
Zadanie 2.170., strona 71, Matematyka. Klasa 1. Zbiór zadań. Zakres rozszerzony – rozwiązania i odpowiedzi
Zadanie 4.21., strona 106, Matematyka. Klasa 3. Zbiór zadań. Zakres rozszerzony – rozwiązania i odpowiedzi
Ćwiczenie 4, strona 112, MATeMAtyka 4. Zakres podstawowy i rozszerzony. Podręcznik - rozwiązania i odpowiedzi
Zadanie 1, strona 168, Matematyka. Klasa 1. Podręcznik. Zakres rozszerzony. Część 1 – rozwiązania i odpowiedzi
REKLAMA
Skul
Zadania z tego działu
Zadania maturalne: Matematyka poziom podstawowy
2

Zadania przypisane do działu

Zadanie 1

4

Zadanie 2

4

Zadanie 3

5

Zadanie 4

6

Zadanie 5

6

Zadanie 6

7

Zadanie 7

7

Zadanie 8

8

Zadanie 9

8

Zadanie 10

10

Zadanie 11

11

Zadanie 12

12

Zadanie 13

12

Zadanie 14.1

13

Zadanie 14.2

13

Zadanie 14.3

14

Zadanie 14.4

14

Zadanie 15

16

Zadanie 16

16

Zadanie 17

17

Zadanie 18

18

Zadanie 19

18

Zadanie 20

19

Zadanie 21

19

Zadanie 22

20

Zadanie 23

20

Zadanie 24

21

Zadanie 25.1

22

Zadanie 25.2

23

Zadanie 26

24

Zadanie 27

24

Zadanie 28

25

Zadanie 29

25

Zadanie 30

26

Zadanie 31

27
Pełny spis treści
Skul
Artboard 1
Skul.pl
  • Napisz do nas
  • FAQ
  • Mapa Serwisu
  • Google Play
  • App Store

Korzystanie z portalu oznacza akceptację Regulaminu.
Polityka prywatności. Ustawienia preferencji. Copyright: INTERIA.PL 1999-2023 Wszystkie prawa zastrzeżone.