Skul.pl
  • Opracowania zadań z podręczników
  • Matura z matematyki. Formuła 2023. Poziom podstawowy. Maj 2024.
  • Zadanie 26

Matura z matematyki. Formuła 2023. Poziom podstawowy. Maj 2024.

Arkusz egzaminacyjny, Wydawnictwo: CKE
Poprzednie

Zadanie 26 - strona 24

Następne

Zadanie

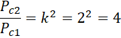
Wypisz jest stosunek pola powierzchni całkowitej ostrosłupa F­­­2 do pola powierzchni całkowitej ostrosłupa F­1.

Rozwiązanie

4

Skul

Wyjaśnienie

k – skala podobieństwa

Stosunek objętości brył podobnych jest równy k3.

Pola powierzchni całkowitej brył podobnych są podobne w skali k2.

Poprzednie
Następne

Matematyka - wybrane pytania

Zadanie 5., strona 261, Matematyka wokół nas. Klasa 8. Podręcznik - rozwiązania i odpowiedzi
Zadanie 39, strona 232, MATeMAtyka 4. Zakres podstawowy i rozszerzony. Podręcznik - rozwiązania i odpowiedzi
Ćwiczenie 2, strona 31, Matematyka z Plusem. Geometria. Klasa 4. Zeszyt ćwiczeń. Wersja A. Część 2/3 - rozwiązania i odpowiedzi
Zadanie 29., strona 19, MATeMAtyka. Klasa 3. Zbiór zadań. Zakres podstawowy – rozwiązania i odpowiedzi
Zadanie 15, strona 266, MATeMAtyka. Klasa 3. Zbiór zadań. Zakres podstawowy i rozszerzony – rozwiązania i odpowiedzi
Zadanie 13., strona 136, Matematyka. Klasa 8. Zbiór zadań - rozwiązania i odpowiedzi
Zadanie 3, strona 170, Matematyka. Klasa 6. Podręcznik - rozwiązania i odpowiedzi
Ćwiczenie 5, strona 228, Matematyka wokół nas. Klasa 4. Podręcznik - rozwiązania i odpowiedzi
Zadanie 2., strona 60, Matematyka. Klasa 8. Zeszyt ćwiczeń - rozwiązania i odpowiedzi
Zadanie 11, strona 99, MATeMAtyka 4. Podręcznik dla liceum ogólnokształcącego i technikum. Zakres podstawowy
REKLAMA
Skul
Zadania z tego działu
Zadania maturalne: Matematyka poziom podstawowy
2

Zadania przypisane do działu

Zadanie 1

4

Zadanie 2

4

Zadanie 3

5

Zadanie 4

6

Zadanie 5

6

Zadanie 6

7

Zadanie 7

7

Zadanie 8

8

Zadanie 9

8

Zadanie 10

10

Zadanie 11

11

Zadanie 12

12

Zadanie 13

12

Zadanie 14.1

13

Zadanie 14.2

13

Zadanie 14.3

14

Zadanie 14.4

14

Zadanie 15

16

Zadanie 16

16

Zadanie 17

17

Zadanie 18

18

Zadanie 19

18

Zadanie 20

19

Zadanie 21

19

Zadanie 22

20

Zadanie 23

20

Zadanie 24

21

Zadanie 25.1

22

Zadanie 25.2

23

Zadanie 26

24

Zadanie 27

24

Zadanie 28

25

Zadanie 29

25

Zadanie 30

26

Zadanie 31

27
Pełny spis treści
Skul
Artboard 1
Skul.pl
  • Napisz do nas
  • FAQ
  • Mapa Serwisu
  • Google Play
  • App Store

Korzystanie z portalu oznacza akceptację Regulaminu.
Polityka prywatności. Ustawienia preferencji. Copyright: INTERIA.PL 1999-2023 Wszystkie prawa zastrzeżone.