Dany jest okrąg o równaniu
Odczytaj współrzędne środka okręgu oraz jego promień ze wzoru ogólnego okręgu:
Naszkicuj rysunek pomocniczy:
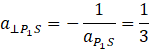
Oblicz współczynnik kierunkowy prostej 𝑃₁𝑆:
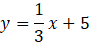
Równanie prostej stycznej do okręgu przechodzącej przez punkt 𝑃₁ ma postać:
Oblicz współczynnik kierunkowy prostej 𝑃₂𝑆:
Równanie prostej stycznej do okręgu przechodzącej przez punkt 𝑃₂ ma postać:
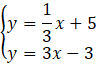
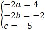
Ułóż i rozwiąż układ równań:
Odp.
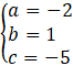
Porównaj podany w treści zadania wzór ze wzorem ogólnym:
gdzie
Wykorzystaj współrzędne podanych punktów, żeby obliczyć współczynnik kierunkowy przechodzącej przez nią prostej:
gdzie punkty
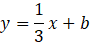
Podstaw tak obliczony współczynnik kierunkowy do równania prostej:
a następnie podstaw pod wartości zmiennych współrzędne punktu 𝑃, by obliczyć 𝑏.
Po wyznaczeniu równań prostych stycznych w punktach ułóż układ równań i go rozwiąż, żeby otrzymać współrzędne szukanego punktu.
Ćwiczenie B.
217Ćwiczenie C.
218Zadanie 1.
220Zadanie 2.
220Zadanie 6.
220Zadanie 9.
221Zadanie 12.
221Zadanie 14.
221Zadanie 15.
221Zadanie 17.
221Zadanie 18.
222Zadanie 20.
222Zadanie 21.
222Ćwiczenie A.
223Ćwiczenie B.
224Przykład 2.
226Zadanie 1.
228Zadanie 2.
228Zadanie 4.
228Zadanie 5.
228Zadanie 7.
228Zadanie 8.
228Zadanie 9.
228Zadanie 11.
229Zadanie 12.
229Zadanie 14.
229Zadanie 15.
229Zadanie 16.
229Zadanie 1.
234Zadanie 3.
234Zadanie 4.
234Zadanie 6.
234Zadanie 7.
234Zadanie 8.
234Zadanie 9.
234Zadanie 13.
235Zadanie 15.
235Ćwiczenie B.
236Ćwiczenie C.
237Zadanie 1.
238Zadanie 3.
238Zadanie 4.
239Zadanie 5.
239Zadanie 6.
239Zadanie 8.
239Zadanie 9.
239Zadanie 10.
239Zadanie 11.
239Zadanie 12.
240Zadanie 13.
240Zadanie 1.
245Zadanie 2.
245Zadanie 5.
247Zadanie 6.
247Zadanie 7.
247Zadanie 8.
247Zadanie 11.
247Zadanie 12.
247Zadanie 15.
248Zadanie 16.
248Zadanie 17.
248Zadanie 18.
248Zadanie 1.
250Zadanie 7.
250Zadanie 8.
250