Dana jest prosta
Naszkicuj rysunek pomocniczy:
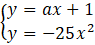
Ułóż układ równań:
Oblicz wyróżnik tego wielomianu:
Równanie ma tylko jedno rozwiązanie (czyli prosta jest styczna do wykresu paraboli), gdy wyróżnik jest równy zeru:
Odp. Parametr 𝑎 jest równy 10 lub -10.
Ułóż układ równań ze sparametryzowanego równania prostej oraz równania paraboli. Przyrównaj prawe strony tych równań. Wyznacz wyróżnik sparametryzowanego wielomianu. Prosta oraz wykres paraboli mają mieć tylko jeden punkt wspólny, więc wyróżnik wielomianu opisującego relację między konstrukcjami musi być równy zero. Wyznacz wartości parametru 𝑎, dla których wyróżnik jest równy zero.
Ćwiczenie B.
217Ćwiczenie C.
218Zadanie 1.
220Zadanie 2.
220Zadanie 6.
220Zadanie 9.
221Zadanie 12.
221Zadanie 14.
221Zadanie 15.
221Zadanie 17.
221Zadanie 18.
222Zadanie 20.
222Zadanie 21.
222Ćwiczenie A.
223Ćwiczenie B.
224Przykład 2.
226Zadanie 1.
228Zadanie 2.
228Zadanie 4.
228Zadanie 5.
228Zadanie 7.
228Zadanie 8.
228Zadanie 9.
228Zadanie 11.
229Zadanie 12.
229Zadanie 14.
229Zadanie 15.
229Zadanie 16.
229Zadanie 1.
234Zadanie 3.
234Zadanie 4.
234Zadanie 6.
234Zadanie 7.
234Zadanie 8.
234Zadanie 9.
234Zadanie 13.
235Zadanie 15.
235Ćwiczenie B.
236Ćwiczenie C.
237Zadanie 1.
238Zadanie 3.
238Zadanie 4.
239Zadanie 5.
239Zadanie 6.
239Zadanie 8.
239Zadanie 9.
239Zadanie 10.
239Zadanie 11.
239Zadanie 12.
240Zadanie 13.
240Zadanie 1.
245Zadanie 2.
245Zadanie 5.
247Zadanie 6.
247Zadanie 7.
247Zadanie 8.
247Zadanie 11.
247Zadanie 12.
247Zadanie 15.
248Zadanie 16.
248Zadanie 17.
248Zadanie 18.
248Zadanie 1.
250Zadanie 7.
250Zadanie 8.
250