Wiedząc, że punkty (1, 3) i (4, -1) to pewne wierzchołki trójkąta równobocznego, wyznacz współrzędne trzeciego.
Współrzędne trzeciego wierzchołka to (x, y).
Zauważ, że skoro ten trójkąt jest równoboczny, to wszystkie boki ma tej samej długości, dlatego możesz porównać długości boków wychodzących ze znanych wierzchołków.
Oblicz długość boku:
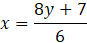
Wyznacz x:
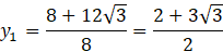
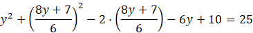
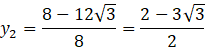
Podstaw x pod jedno z równań:
Uprość równanie:
Rozwiąż równanie kwadratowe, obliczając deltę:
Są możliwe dwa miejsca trzeciego wierzchołka:
Są dwie możliwe współrzędne:
Zauważ, że długość boku trójkąta możesz zapisać na dwa sposoby. Wykorzystując wzór na odległość między punktami w układzie współrzędnych
Ćwiczenie B.
217Ćwiczenie C.
218Zadanie 1.
220Zadanie 2.
220Zadanie 6.
220Zadanie 9.
221Zadanie 12.
221Zadanie 14.
221Zadanie 15.
221Zadanie 17.
221Zadanie 18.
222Zadanie 20.
222Zadanie 21.
222Ćwiczenie A.
223Ćwiczenie B.
224Przykład 2.
226Zadanie 1.
228Zadanie 2.
228Zadanie 4.
228Zadanie 5.
228Zadanie 7.
228Zadanie 8.
228Zadanie 9.
228Zadanie 11.
229Zadanie 12.
229Zadanie 14.
229Zadanie 15.
229Zadanie 16.
229Zadanie 1.
234Zadanie 3.
234Zadanie 4.
234Zadanie 6.
234Zadanie 7.
234Zadanie 8.
234Zadanie 9.
234Zadanie 13.
235Zadanie 15.
235Ćwiczenie B.
236Ćwiczenie C.
237Zadanie 1.
238Zadanie 3.
238Zadanie 4.
239Zadanie 5.
239Zadanie 6.
239Zadanie 8.
239Zadanie 9.
239Zadanie 10.
239Zadanie 11.
239Zadanie 12.
240Zadanie 13.
240Zadanie 1.
245Zadanie 2.
245Zadanie 5.
247Zadanie 6.
247Zadanie 7.
247Zadanie 8.
247Zadanie 11.
247Zadanie 12.
247Zadanie 15.
248Zadanie 16.
248Zadanie 17.
248Zadanie 18.
248Zadanie 1.
250Zadanie 7.
250Zadanie 8.
250