Mając dane równanie prostej 2x – 3y + 1 = 0 oraz punkt P = (3, 5), poprowadź prostą prostopadłą do podanej prostej i wyznacz położenie miejsca przecięcia tych prostych. Wyznacz dystans P od podanej prostej.
Przekształć równanie podanej prostej na postać kierunkową:
Wykorzystaj współczynnik kierunkowy podanej prostej do obliczenia współczynnika prostej do niej prostopadłej:
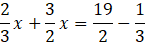
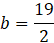
Wyznacz b, a następnie równanie prostej, prostopadłej do podanej prostej, przechodzącej przez punkt P:
Wyznacz współrzędne punktu przecięcia tych prostych:
Wykorzystaj wzór na obliczenie odległości pomiędzy prostą
Pozbądź się niewymierności z mianownika:
Przekształć równanie podanej prostej z postaci ogólnej
Ćwiczenie B.
217Ćwiczenie C.
218Zadanie 1.
220Zadanie 2.
220Zadanie 6.
220Zadanie 9.
221Zadanie 12.
221Zadanie 14.
221Zadanie 15.
221Zadanie 17.
221Zadanie 18.
222Zadanie 20.
222Zadanie 21.
222Ćwiczenie A.
223Ćwiczenie B.
224Przykład 2.
226Zadanie 1.
228Zadanie 2.
228Zadanie 4.
228Zadanie 5.
228Zadanie 7.
228Zadanie 8.
228Zadanie 9.
228Zadanie 11.
229Zadanie 12.
229Zadanie 14.
229Zadanie 15.
229Zadanie 16.
229Zadanie 1.
234Zadanie 3.
234Zadanie 4.
234Zadanie 6.
234Zadanie 7.
234Zadanie 8.
234Zadanie 9.
234Zadanie 13.
235Zadanie 15.
235Ćwiczenie B.
236Ćwiczenie C.
237Zadanie 1.
238Zadanie 3.
238Zadanie 4.
239Zadanie 5.
239Zadanie 6.
239Zadanie 8.
239Zadanie 9.
239Zadanie 10.
239Zadanie 11.
239Zadanie 12.
240Zadanie 13.
240Zadanie 1.
245Zadanie 2.
245Zadanie 5.
247Zadanie 6.
247Zadanie 7.
247Zadanie 8.
247Zadanie 11.
247Zadanie 12.
247Zadanie 15.
248Zadanie 16.
248Zadanie 17.
248Zadanie 18.
248Zadanie 1.
250Zadanie 7.
250Zadanie 8.
250