Dane są: okrąg
Naszkicuj rysunek pomocniczy:
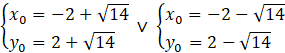
Oblicz współrzędne punktów 𝐴 i 𝐵. Ułóż i rozwiąż układ równań:
Podstaw równanie prostej do równania okręgu:
Oblicz miejsca zerowe wielomianu stopnia drugiego:
Podstaw wyliczone wartości do równania prostej:
Wyznacz wzór ogólny prostej przechodzącej przez środek okręgu i punkt 𝐵:
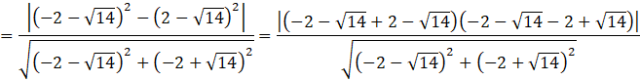
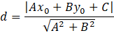
Oblicz odległość punktu 𝐴 od prostej 𝐵𝐶:
Pole trójkąta 𝐴𝐵𝐶 wynosi:
Podstaw równanie prostej do równania okręgu. Rozwiąż otrzymaną w ten sposób funkcję kwadratową. Miejsca zerowe wyznaczają współrzędne na osi odciętych punktów przecięcia. Podstaw otrzymane wartości z osi 𝑂𝑋 do wzoru prostej, by obliczyć współrzędne na rzędnej punktów przecięcia.
Wyznacz wzór ogólny prostej przechodzącej przez punkt 𝐵 oraz środek okręgu (zawiera ona średnicę 𝐵𝐶), znając wzór na współczynnik kierunkowy prostej przechodzącej przez dwa punkty:
gdzie
Wykorzystaj ten wzór, by obliczyć odległość punktu 𝐴 od średnicy okręgu, a zarazem wysokość trójkąta 𝐴𝐵𝐶 opuszczoną na tę średnicę. Wzór ma postać:
gdzie
Wykorzystaj wzór na pole trójkąta i policzone długości odcinków, by obliczyć pole trójkąta.
Ćwiczenie B.
217Ćwiczenie C.
218Zadanie 1.
220Zadanie 2.
220Zadanie 6.
220Zadanie 9.
221Zadanie 12.
221Zadanie 14.
221Zadanie 15.
221Zadanie 17.
221Zadanie 18.
222Zadanie 20.
222Zadanie 21.
222Ćwiczenie A.
223Ćwiczenie B.
224Przykład 2.
226Zadanie 1.
228Zadanie 2.
228Zadanie 4.
228Zadanie 5.
228Zadanie 7.
228Zadanie 8.
228Zadanie 9.
228Zadanie 11.
229Zadanie 12.
229Zadanie 14.
229Zadanie 15.
229Zadanie 16.
229Zadanie 1.
234Zadanie 3.
234Zadanie 4.
234Zadanie 6.
234Zadanie 7.
234Zadanie 8.
234Zadanie 9.
234Zadanie 13.
235Zadanie 15.
235Ćwiczenie B.
236Ćwiczenie C.
237Zadanie 1.
238Zadanie 3.
238Zadanie 4.
239Zadanie 5.
239Zadanie 6.
239Zadanie 8.
239Zadanie 9.
239Zadanie 10.
239Zadanie 11.
239Zadanie 12.
240Zadanie 13.
240Zadanie 1.
245Zadanie 2.
245Zadanie 5.
247Zadanie 6.
247Zadanie 7.
247Zadanie 8.
247Zadanie 11.
247Zadanie 12.
247Zadanie 15.
248Zadanie 16.
248Zadanie 17.
248Zadanie 18.
248Zadanie 1.
250Zadanie 7.
250Zadanie 8.
250