Dane są: prosta
Naszkicuj rysunek pomocniczy:
Niebieski okrąg to przykładowy okrąg styczny do prostej oraz okręgu. Poprowadź odcinek prostopadły z punktu 𝐴 do danej prostej, podobnie z punktu styczności okręgów oraz środka przykładowego okręgu. Połącz odcinkiem środki okręgów. Zawiera on punkt styczności okręgów. Oznacz kąt ∢𝐷𝐴𝐵 jako α oraz odcinek 𝐸𝐹 jako 𝑟.
Uzależnij długość odcinka 𝐴𝐻 i 𝐴𝐼 od kąta α i promieni okręgów:
Długość promienia można zapisać jako różnicę:
Zauważ, że promień 𝑟 jest najmniejszy dla
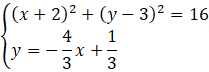
Wynika z tego, że średnicą poszukiwanego okręgu jest odcinek 𝐷𝐺. Oblicz współrzędne punktu 𝐷.
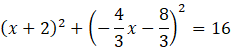
Wyznacz wzór prostej prostopadłej do prostej danej w zadaniu, przechodzącą przez punkt 𝐴:
Wzór prostej prostopadłej to:
W prostej zawiera się punkt 𝐴, czyli:
Równanie prostej prostopadłej to:
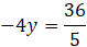
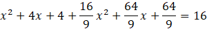
Oblicz współrzędne punktu ich przecięcia:
Oblicz współrzędne punktu 𝐺:
Oblicz współrzędne środka odcinka 𝐷𝐺:
Odp. Równanie poszukiwanego okręgu to
Skorzystaj z konstrukcji układu, żeby uzależnić długość promienia stycznego okręgu od kąta wewnętrznego w okręgu. Zauważ, że cosinus kąta osiąga maksymalną wartość równą 1 dla
Współrzędne punktu 𝐺 to współrzędne jednego z punktów wspólnych prostej prostopadłej i okręgu z treści zadania. Ułóż i rozwiąż odpowiedni układ równań.
Szukany okrąg ma środek w środku odcinka 𝐷𝐺 i promień równy 1.
Ćwiczenie B.
217Ćwiczenie C.
218Zadanie 1.
220Zadanie 2.
220Zadanie 6.
220Zadanie 9.
221Zadanie 12.
221Zadanie 14.
221Zadanie 15.
221Zadanie 17.
221Zadanie 18.
222Zadanie 20.
222Zadanie 21.
222Ćwiczenie A.
223Ćwiczenie B.
224Przykład 2.
226Zadanie 1.
228Zadanie 2.
228Zadanie 4.
228Zadanie 5.
228Zadanie 7.
228Zadanie 8.
228Zadanie 9.
228Zadanie 11.
229Zadanie 12.
229Zadanie 14.
229Zadanie 15.
229Zadanie 16.
229Zadanie 1.
234Zadanie 3.
234Zadanie 4.
234Zadanie 6.
234Zadanie 7.
234Zadanie 8.
234Zadanie 9.
234Zadanie 13.
235Zadanie 15.
235Ćwiczenie B.
236Ćwiczenie C.
237Zadanie 1.
238Zadanie 3.
238Zadanie 4.
239Zadanie 5.
239Zadanie 6.
239Zadanie 8.
239Zadanie 9.
239Zadanie 10.
239Zadanie 11.
239Zadanie 12.
240Zadanie 13.
240Zadanie 1.
245Zadanie 2.
245Zadanie 5.
247Zadanie 6.
247Zadanie 7.
247Zadanie 8.
247Zadanie 11.
247Zadanie 12.
247Zadanie 15.
248Zadanie 16.
248Zadanie 17.
248Zadanie 18.
248Zadanie 1.
250Zadanie 7.
250Zadanie 8.
250