Dany jest trójkąt prostokątny wpisany w okrąg: x2 + y2 – 6x + 4y = 0. Jego boki tworzą pewne trzy proste. Wyznacz je, wiedząc, że jedna z nich (zawierająca jedną z przyprostokątnych) ma równanie: x + 5y – 6 = 0.
Wprowadź oznaczenia:
Szukane są równania prostych l i m.
o:
S = (3, -2)
k:
x + 5y – 6 = 0
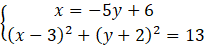
x = -5y + 6
Rozpatrz dwa przypadki:
Pierwszy przypadek – przeciwprostokątną jest odcinek BC:
Aby znaleźć współrzędne punktów A i B przyrównaj ze sobą równanie prostej k oraz równanie okręgu:
A = (0, 6), B = (1, 1)
Zapisz równanie prostej m jako:
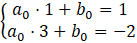
Do prostej tej należą punkty B i S. Ułóż zatem układ równań:
m:
Punkt C należy do tej prostej, zapisz zatem jego współrzędne w postaci:
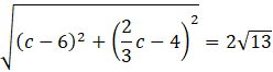
Długość odcinka |BC| jest równa długości dwóch promieni okręgu, co wynika z własności trójkąta prostokątnego wpisanego w okrąg. Zatem:
Obie strony równania są nieujemne, można je zatem podnieść obustronnie do kwadratu:
Warunki zadania spełnia liczba
Zapisz równanie prostej l jako:
Do prostej tej należą punkty A i C. Ułóż zatem układ równań:
l:
Drugi przypadek – przeciwprostokątną jest odcinek AC:
Współrzędne punktów A i B pozostają takie same jak w przypadku pierwszym i mają postać:
A = (0, 6), B = (1, 1)
Zapisz równanie prostej l jako:
Do prostej tej należą punkty A i S. Ułóż zatem układ równań:
l:
Punkt C należy do tej prostej, zapisz zatem jego współrzędne w postaci:
Długość odcinka |AC| jest równa długości dwóch promieni okręgu, co wynika z własności trójkąta prostokątnego wpisanego w okrąg. Zatem:
Obie strony równania są nieujemne, można je zatem podnieść obustronnie do kwadratu:
Warunki zadania spełnia liczba
Zapisz równanie prostej m jako:
Do prostej tej należą punkty B i C. Ułóż zatem układ równań:
l:
Końcowa odpowiedź:
3x + 2y – 5 = 0 oraz 5x – y – 30 = 0
lub
2x – 3y – 12 = 0 oraz 5x – y – 4 = 0
Stwórz rysunek pomocniczy i wprowadź odpowiednie oznaczenia. Rozpatrz dwa przypadki: w zależności od tego, który bok trójkąta jest jego przeciwprostokątną. W każdym z tych przypadków:
Znajdź współrzędne dwóch wierzchołków trójkąta, które należą do prostej podanej w treści zadania. W tym celu przyrównaj równanie prostej i równanie okręgu, a następnie rozwiąż otrzymany w ten sposób układ.
Zauważ, że środek okręgu oraz jeden z wyznaczonych punków należą do jednej z szukanych prostych. Wyznacz jej równanie, wstawiając do równania w postaci y = ax + b ich współrzędne i rozwiązując powstały układ.
Zwróć uwagę, że do wyznaczonej prostej należy trzeci wierzchołek trójkąta. Wyznacz dzięki temu jego przykładowe współrzędne. Następnie skorzystaj z zależności, że przeciwprostokątna w trójkącie opisanym na okręgu jest równa średnicy tego okręgu. Na podstawie tej informacji ułóż odpowiednie równanie i wyznacz współrzędne trzeciego wierzchołka trójkąta.
Wyznacz równanie drugiej z szukanych prostych, wstawiając do równania w postaci y = ax + b współrzędne dwóch punktów, które do tej prostej należą.
Ćwiczenie B.
217Ćwiczenie C.
218Zadanie 1.
220Zadanie 2.
220Zadanie 6.
220Zadanie 9.
221Zadanie 12.
221Zadanie 14.
221Zadanie 15.
221Zadanie 17.
221Zadanie 18.
222Zadanie 20.
222Zadanie 21.
222Ćwiczenie A.
223Ćwiczenie B.
224Przykład 2.
226Zadanie 1.
228Zadanie 2.
228Zadanie 4.
228Zadanie 5.
228Zadanie 7.
228Zadanie 8.
228Zadanie 9.
228Zadanie 11.
229Zadanie 12.
229Zadanie 14.
229Zadanie 15.
229Zadanie 16.
229Zadanie 1.
234Zadanie 3.
234Zadanie 4.
234Zadanie 6.
234Zadanie 7.
234Zadanie 8.
234Zadanie 9.
234Zadanie 13.
235Zadanie 15.
235Ćwiczenie B.
236Ćwiczenie C.
237Zadanie 1.
238Zadanie 3.
238Zadanie 4.
239Zadanie 5.
239Zadanie 6.
239Zadanie 8.
239Zadanie 9.
239Zadanie 10.
239Zadanie 11.
239Zadanie 12.
240Zadanie 13.
240Zadanie 1.
245Zadanie 2.
245Zadanie 5.
247Zadanie 6.
247Zadanie 7.
247Zadanie 8.
247Zadanie 11.
247Zadanie 12.
247Zadanie 15.
248Zadanie 16.
248Zadanie 17.
248Zadanie 18.
248Zadanie 1.
250Zadanie 7.
250Zadanie 8.
250