Wiedząc, że P = (-5, -2), prosta x = 4 jest osią symetrii punktów P1 i P oraz prosta y = -6 jest osią symetrii punktów P2 i P1, udowodnij, że punkty P2 i P są symetryczne względem miejsca przecięcia się prostych.
Punkt przecięcia się prostych oznacz jako S = (4,-6).
Zauważ, że skoro P1 i P są symetryczne względem prostej o równaniu x = 4, to:
Prosta, która jest osią symetrii, znajduje się w połowie długości odcinka utworzonego z punktów symetrycznych, a więc:
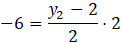
Zauważ, że skoro P1 i P2 są symetryczne względem prostej o równaniu y = -6, to:
Prosta, która jest osią symetrii, znajduje się w połowie długości odcinka utworzonego z punktów symetrycznych, a więc:
Punkt, który środkiem symetrii dwóch punktów, znajduje się w połowie odcinka utworzonego pomiędzy symetrycznymi odcinkami, a więc:
Oznacza to, że punkt S jest środkiem symetrii punktów P oraz P2, co kończy dowód.
Pamiętaj, że oś bądź punkt, względem, którego punkty są symetryczne, znajduje się w połowie długości odcinka utworzonego z symetrycznych punktów.Zauważ, że wykorzystując symetrię punktów, jesteś w stanie obliczyć wszystkie współrzędne podanych punktów. Oblicz współrzędne. Wykorzystując pierwszą informację, sprawdź, czy punkt przecięcia się prostych jest środkiem symetrii punktów P oraz P2.
Ćwiczenie B.
217Ćwiczenie C.
218Zadanie 1.
220Zadanie 2.
220Zadanie 6.
220Zadanie 9.
221Zadanie 12.
221Zadanie 14.
221Zadanie 15.
221Zadanie 17.
221Zadanie 18.
222Zadanie 20.
222Zadanie 21.
222Ćwiczenie A.
223Ćwiczenie B.
224Przykład 2.
226Zadanie 1.
228Zadanie 2.
228Zadanie 4.
228Zadanie 5.
228Zadanie 7.
228Zadanie 8.
228Zadanie 9.
228Zadanie 11.
229Zadanie 12.
229Zadanie 14.
229Zadanie 15.
229Zadanie 16.
229Zadanie 1.
234Zadanie 3.
234Zadanie 4.
234Zadanie 6.
234Zadanie 7.
234Zadanie 8.
234Zadanie 9.
234Zadanie 13.
235Zadanie 15.
235Ćwiczenie B.
236Ćwiczenie C.
237Zadanie 1.
238Zadanie 3.
238Zadanie 4.
239Zadanie 5.
239Zadanie 6.
239Zadanie 8.
239Zadanie 9.
239Zadanie 10.
239Zadanie 11.
239Zadanie 12.
240Zadanie 13.
240Zadanie 1.
245Zadanie 2.
245Zadanie 5.
247Zadanie 6.
247Zadanie 7.
247Zadanie 8.
247Zadanie 11.
247Zadanie 12.
247Zadanie 15.
248Zadanie 16.
248Zadanie 17.
248Zadanie 18.
248Zadanie 1.
250Zadanie 7.
250Zadanie 8.
250