Wykaż, że środek symetrii ma dwie współrzędne wymierne, jeśli wszystkie wierzchołki równoległoboku też mają współrzędne wymierne.
T:
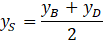
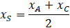
D:
Przekątne równoległoboku przecinają się w połowie, dlatego, aby obliczyć współrzędne tego punktu, wystarczy obliczyć punkt środkowy jednej z przekątnych:
Lub:
A więc, współrzędne punktu przecięcia przekątnych równoległoboku są zapisane jako ułamek. W liczniku znajduje się suma dwóch liczb wymiernych, stąd ich wynik też jest liczbą wymierną, a w mianowniku jest liczba wymierna. Ułamek dwóch liczb wymiernych pozostaje liczbą wymierną, dlatego współrzędne punktu przecięcia przekątnych będą zawsze liczbą wymierną, jeśli współrzędne wierzchołków równoległoboku też nimi będą. Co kończy dowód.
Skorzystaj ze wzoru na obliczanie punktu środkowego odcinka,
Ćwiczenie B.
217Ćwiczenie C.
218Zadanie 1.
220Zadanie 2.
220Zadanie 6.
220Zadanie 9.
221Zadanie 12.
221Zadanie 14.
221Zadanie 15.
221Zadanie 17.
221Zadanie 18.
222Zadanie 20.
222Zadanie 21.
222Ćwiczenie A.
223Ćwiczenie B.
224Przykład 2.
226Zadanie 1.
228Zadanie 2.
228Zadanie 4.
228Zadanie 5.
228Zadanie 7.
228Zadanie 8.
228Zadanie 9.
228Zadanie 11.
229Zadanie 12.
229Zadanie 14.
229Zadanie 15.
229Zadanie 16.
229Zadanie 1.
234Zadanie 3.
234Zadanie 4.
234Zadanie 6.
234Zadanie 7.
234Zadanie 8.
234Zadanie 9.
234Zadanie 13.
235Zadanie 15.
235Ćwiczenie B.
236Ćwiczenie C.
237Zadanie 1.
238Zadanie 3.
238Zadanie 4.
239Zadanie 5.
239Zadanie 6.
239Zadanie 8.
239Zadanie 9.
239Zadanie 10.
239Zadanie 11.
239Zadanie 12.
240Zadanie 13.
240Zadanie 1.
245Zadanie 2.
245Zadanie 5.
247Zadanie 6.
247Zadanie 7.
247Zadanie 8.
247Zadanie 11.
247Zadanie 12.
247Zadanie 15.
248Zadanie 16.
248Zadanie 17.
248Zadanie 18.
248Zadanie 1.
250Zadanie 7.
250Zadanie 8.
250