Oblicz długość odcinka zaznaczonego na rysunku.
Z rysunku odczytaj, że okrąg ma środek w punkcie
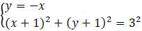
Ułóż i rozwiąż układ równań:
Podstaw równanie prostej do równania okręgu:
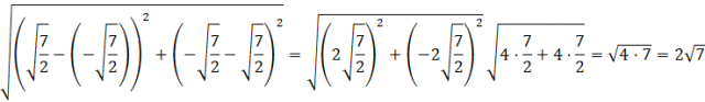
Oblicz długość odcinka:
Odp. Długość cięciwy wynosi
Odczytaj z rysunku parametry prostej oraz okręgu i ułóż ich równania, pamiętając, że równanie okręgu ma postać:
gdzie (𝑎,𝑏) to współrzędne środka okręgu, a 𝑟 to jego promień.
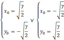
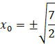
Podstaw równanie prostej do równania okręgu. Rozwiąż otrzymaną w ten sposób funkcję kwadratową. Miejsca zerowe wyznaczają współrzędne na osi odciętych punktów przecięcia. Podstaw otrzymane wartości z osi 𝑂𝑋 do wzoru prostej, by obliczyć współrzędne na rzędnej punktów przecięcia.
Wykorzystaj punkty przecięcia okręgu i prostej, by obliczyć długość odcinka ze wzoru:
gdzie
Ćwiczenie B.
217Ćwiczenie C.
218Zadanie 1.
220Zadanie 2.
220Zadanie 6.
220Zadanie 9.
221Zadanie 12.
221Zadanie 14.
221Zadanie 15.
221Zadanie 17.
221Zadanie 18.
222Zadanie 20.
222Zadanie 21.
222Ćwiczenie A.
223Ćwiczenie B.
224Przykład 2.
226Zadanie 1.
228Zadanie 2.
228Zadanie 4.
228Zadanie 5.
228Zadanie 7.
228Zadanie 8.
228Zadanie 9.
228Zadanie 11.
229Zadanie 12.
229Zadanie 14.
229Zadanie 15.
229Zadanie 16.
229Zadanie 1.
234Zadanie 3.
234Zadanie 4.
234Zadanie 6.
234Zadanie 7.
234Zadanie 8.
234Zadanie 9.
234Zadanie 13.
235Zadanie 15.
235Ćwiczenie B.
236Ćwiczenie C.
237Zadanie 1.
238Zadanie 3.
238Zadanie 4.
239Zadanie 5.
239Zadanie 6.
239Zadanie 8.
239Zadanie 9.
239Zadanie 10.
239Zadanie 11.
239Zadanie 12.
240Zadanie 13.
240Zadanie 1.
245Zadanie 2.
245Zadanie 5.
247Zadanie 6.
247Zadanie 7.
247Zadanie 8.
247Zadanie 11.
247Zadanie 12.
247Zadanie 15.
248Zadanie 16.
248Zadanie 17.
248Zadanie 18.
248Zadanie 1.
250Zadanie 7.
250Zadanie 8.
250