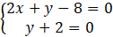
Mając dane proste o równaniach 2x – y – 4 = 0, 2x + y – 8 = 0 i y + 2 = 0, których przecięcia wyznaczają wierzchołki trójkąta, określ położenie środka okręgu, który został wpisany w trójkąt.
Współrzędne środka okręgu to:
Oblicz współrzędne wierzchołków.
Wierzchołek A:
Podstaw y:
Wierzchołek B:
Podstaw y:
Wierzchołek C:
Oblicz x:
Skoro okrąg jest wpisany w trójkąt, to odległość środka od boków trójkąta jest taka sama, a więc możesz wykorzystać wzór do obliczenia odległości punktu od prostej:
Zauważ, że odpowiedź
Stwórz kolejne równanie podobne do poprzedniego, wykorzystując kolejne proste:
Pomnóż na krzyż:
Pozbądź się niewymierności z mianownika, mnożąc odpowiednio przez
Zauważ, że odpowiedź
Współrzędne środka okręgu to:
Oblicz współrzędne wierzchołków podanego trójkąta i oznacz je literami. Współrzędne obliczysz poprzez wyznaczenie miejsc przecięcia prostych. Zauważ, że promień ma taką samą długość do każdego z boków, a więc możesz utworzyć odpowiednie równości, aby wyznaczyć jedną ze współrzędnych. Wykorzystaj do tego wzór
Ćwiczenie B.
217Ćwiczenie C.
218Zadanie 1.
220Zadanie 2.
220Zadanie 6.
220Zadanie 9.
221Zadanie 12.
221Zadanie 14.
221Zadanie 15.
221Zadanie 17.
221Zadanie 18.
222Zadanie 20.
222Zadanie 21.
222Ćwiczenie A.
223Ćwiczenie B.
224Przykład 2.
226Zadanie 1.
228Zadanie 2.
228Zadanie 4.
228Zadanie 5.
228Zadanie 7.
228Zadanie 8.
228Zadanie 9.
228Zadanie 11.
229Zadanie 12.
229Zadanie 14.
229Zadanie 15.
229Zadanie 16.
229Zadanie 1.
234Zadanie 3.
234Zadanie 4.
234Zadanie 6.
234Zadanie 7.
234Zadanie 8.
234Zadanie 9.
234Zadanie 13.
235Zadanie 15.
235Ćwiczenie B.
236Ćwiczenie C.
237Zadanie 1.
238Zadanie 3.
238Zadanie 4.
239Zadanie 5.
239Zadanie 6.
239Zadanie 8.
239Zadanie 9.
239Zadanie 10.
239Zadanie 11.
239Zadanie 12.
240Zadanie 13.
240Zadanie 1.
245Zadanie 2.
245Zadanie 5.
247Zadanie 6.
247Zadanie 7.
247Zadanie 8.
247Zadanie 11.
247Zadanie 12.
247Zadanie 15.
248Zadanie 16.
248Zadanie 17.
248Zadanie 18.
248Zadanie 1.
250Zadanie 7.
250Zadanie 8.
250