Dany jest okrąg: x2 + y2 – 4x + 6y – 12 = 0 oraz prosta 4x + 3y + C = 0. Wiedząc, że prosta ta jest styczna do okręgu, wyznacz C oraz punkt styczności.
Wprowadź oznaczenia:
o:
x2 + y2 – 4x + 6y – 12 = 0
S = (2, -3) – środek okręgu
m:
4x + 3y + C = 0
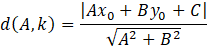
Odległość prostej m od punktu S jest równa promieniowi (r = 5). Ułóż zatem równanie:
Rozpatrz dwa przypadki:
I. C = 26:
m:
4x + 3y + 26 = 0
Zmień równanie na postać kierunkową:
Proste m i k są prostopadłe, zatem współczynnik kierunkowy prostej k wynosi:
k:
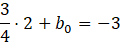
Punkt S należy do prostej k, zatem:
k:
Punkt styczności P leży na przecięciu się prostych k i m, przyrównaj ich wzory ze sobą, aby wyznaczyć współrzędne tego punktu:
P = (-2, -6)
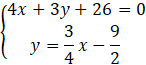
II. C = -24:
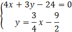
m:
4x + 3y - 24 = 0
Zmień równanie na postać kierunkową:
Proste m i k są prostopadłe, zatem współczynnik kierunkowy prostej k wynosi:
k:
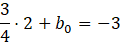
Punkt S należy do prostej k, zatem:
k:
Punkt styczności P leży na przecięciu się prostych k i m, przyrównaj ich wzory ze sobą, aby wyznaczyć współrzędne tego punktu:
P = (6, 0)
Odpowiedź:
Stwórz rysunek pomocniczy i wprowadź odpowiednie oznaczenia. Zauważ, że odległość środka okręgu od podanej stycznej jest równa promieniowi. Promień wyznacz z równania okręgu i ułóż odpowiednie równanie, z którego wyznacz C. Skorzystaj z zależności:
Gdzie k: Ax + By + C = 0,
Rozpatrz dwa przypadki w zależności od liczby C. Aby wyznaczyć punkt styczności:
Znajdź prostą prostopadłą do podanej stycznej, a następnie przyrównaj ze sobą równania obu prostych, ponieważ punkt styczności leży na ich przecięciu się.
Ćwiczenie B.
217Ćwiczenie C.
218Zadanie 1.
220Zadanie 2.
220Zadanie 6.
220Zadanie 9.
221Zadanie 12.
221Zadanie 14.
221Zadanie 15.
221Zadanie 17.
221Zadanie 18.
222Zadanie 20.
222Zadanie 21.
222Ćwiczenie A.
223Ćwiczenie B.
224Przykład 2.
226Zadanie 1.
228Zadanie 2.
228Zadanie 4.
228Zadanie 5.
228Zadanie 7.
228Zadanie 8.
228Zadanie 9.
228Zadanie 11.
229Zadanie 12.
229Zadanie 14.
229Zadanie 15.
229Zadanie 16.
229Zadanie 1.
234Zadanie 3.
234Zadanie 4.
234Zadanie 6.
234Zadanie 7.
234Zadanie 8.
234Zadanie 9.
234Zadanie 13.
235Zadanie 15.
235Ćwiczenie B.
236Ćwiczenie C.
237Zadanie 1.
238Zadanie 3.
238Zadanie 4.
239Zadanie 5.
239Zadanie 6.
239Zadanie 8.
239Zadanie 9.
239Zadanie 10.
239Zadanie 11.
239Zadanie 12.
240Zadanie 13.
240Zadanie 1.
245Zadanie 2.
245Zadanie 5.
247Zadanie 6.
247Zadanie 7.
247Zadanie 8.
247Zadanie 11.
247Zadanie 12.
247Zadanie 15.
248Zadanie 16.
248Zadanie 17.
248Zadanie 18.
248Zadanie 1.
250Zadanie 7.
250Zadanie 8.
250