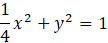
Dana jest elipsa o równaniu
T:
D:
Naszkicuj rysunek pomocniczy:
Niech punkt 𝑄 będzie rzutem prostokątnym punktu 𝑃 na oś OX i niech ma współrzędne
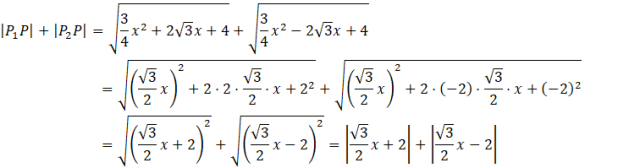
Oblicz długość odcinków
Oblicz długość odcinka 𝑃𝑄:
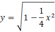
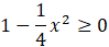
Oblicz dziedzinę elipsy:
Wyznacz długości odcinków
Oblicz sumę powyższych odcinków:
Na obliczonym wcześniej przedziale
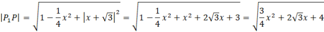
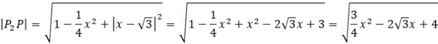
Oblicz długości odcinków w elipsie, wykorzystując wzór na długość odcinka w układzie współrzędnych:
gdzie
Oblicz przedział wartości 𝑥 spełniających równanie elipsy. Wykorzystaj długości obliczonych odcinków, żeby za pomocą twierdzenia Pitagorasa obliczyć długości odcinków łączących ogniska elipsy z punktem należącym do krzywej. Zauważ, że wyrażenia pod pierwiastkiem mają formę wzorów skróconego mnożenia. Sprowadź wyrażenia do kwadratów sumy. Opuść otrzymane wartości bezwzględne, wykorzystując obliczony wcześniej przedział, by wydedukować znak wyrażeń pod modułem.
Ćwiczenie B.
217Ćwiczenie C.
218Zadanie 1.
220Zadanie 2.
220Zadanie 6.
220Zadanie 9.
221Zadanie 12.
221Zadanie 14.
221Zadanie 15.
221Zadanie 17.
221Zadanie 18.
222Zadanie 20.
222Zadanie 21.
222Ćwiczenie A.
223Ćwiczenie B.
224Przykład 2.
226Zadanie 1.
228Zadanie 2.
228Zadanie 4.
228Zadanie 5.
228Zadanie 7.
228Zadanie 8.
228Zadanie 9.
228Zadanie 11.
229Zadanie 12.
229Zadanie 14.
229Zadanie 15.
229Zadanie 16.
229Zadanie 1.
234Zadanie 3.
234Zadanie 4.
234Zadanie 6.
234Zadanie 7.
234Zadanie 8.
234Zadanie 9.
234Zadanie 13.
235Zadanie 15.
235Ćwiczenie B.
236Ćwiczenie C.
237Zadanie 1.
238Zadanie 3.
238Zadanie 4.
239Zadanie 5.
239Zadanie 6.
239Zadanie 8.
239Zadanie 9.
239Zadanie 10.
239Zadanie 11.
239Zadanie 12.
240Zadanie 13.
240Zadanie 1.
245Zadanie 2.
245Zadanie 5.
247Zadanie 6.
247Zadanie 7.
247Zadanie 8.
247Zadanie 11.
247Zadanie 12.
247Zadanie 15.
248Zadanie 16.
248Zadanie 17.
248Zadanie 18.
248Zadanie 1.
250Zadanie 7.
250Zadanie 8.
250