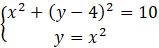
Okrąg o: x2 + (y – 4)2 = 10 oraz wykres funkcji y = x2 przecinają się w czterech punktach. Wyznacz pole figury, którą tworzą te punkty.
Wyznacz ich punkty wspólne.
Niech punkty A, B, C i D będą punktami rozpatrywanego czworokąta. Aby je wyznaczyć, przyrównaj ze sobą podane w treści wzory:
Dla y = 1:
Pierwsze dwa punkty mają zatem współrzędne: A = (-1, 1), B = (1, 1)
Dla y = 2:
Druga para punktów ma zatem współrzędne:
Rozpatrywany czworokąt jest trapezem, a odcinek BE jest jego wysokością. Jego pole obliczyć można ze wzoru:
Długość odcinka BE można wyznaczyć jako odległość punktu B od prostej y = 6:
Wstaw wyznaczone liczby do wzoru na pole trapezu:
Wyznacz wierzchołki czworokąta, przyrównując ze sobą równanie okręgu oraz wzór funkcji y = x2. Rozwiąż powstałe w ten sposób równania i zapisz otrzymane pary liczb x i y jako współrzędne poszczególnych wierzchołków rozpatrywanego wielokąta.
Narysuj wielokąt w układzie współrzędnych i zauważ, że jest on trapezem. Oblicz jego pole ze wzoru:
Długości poszczególnych boków oblicz ze wzorów na długość odcinka i odległość punktu od prostej lub prościej: odczytaj je z rysunku.
Ćwiczenie B.
217Ćwiczenie C.
218Zadanie 1.
220Zadanie 2.
220Zadanie 6.
220Zadanie 9.
221Zadanie 12.
221Zadanie 14.
221Zadanie 15.
221Zadanie 17.
221Zadanie 18.
222Zadanie 20.
222Zadanie 21.
222Ćwiczenie A.
223Ćwiczenie B.
224Przykład 2.
226Zadanie 1.
228Zadanie 2.
228Zadanie 4.
228Zadanie 5.
228Zadanie 7.
228Zadanie 8.
228Zadanie 9.
228Zadanie 11.
229Zadanie 12.
229Zadanie 14.
229Zadanie 15.
229Zadanie 16.
229Zadanie 1.
234Zadanie 3.
234Zadanie 4.
234Zadanie 6.
234Zadanie 7.
234Zadanie 8.
234Zadanie 9.
234Zadanie 13.
235Zadanie 15.
235Ćwiczenie B.
236Ćwiczenie C.
237Zadanie 1.
238Zadanie 3.
238Zadanie 4.
239Zadanie 5.
239Zadanie 6.
239Zadanie 8.
239Zadanie 9.
239Zadanie 10.
239Zadanie 11.
239Zadanie 12.
240Zadanie 13.
240Zadanie 1.
245Zadanie 2.
245Zadanie 5.
247Zadanie 6.
247Zadanie 7.
247Zadanie 8.
247Zadanie 11.
247Zadanie 12.
247Zadanie 15.
248Zadanie 16.
248Zadanie 17.
248Zadanie 18.
248Zadanie 1.
250Zadanie 7.
250Zadanie 8.
250