Okrąg x2 + y2 + 4x + 10y – 20 = 0 odbito symetrycznie względem prostej x = 3. Wyznacz równanie powstałego w ten sposób okręgu.
Niech punkt S = (a, b) będzie środkiem podanego okręgu.
W wyniku podanego przekształcenia zmienią się jedynie współrzędne środka okręgu. Promień pozostanie taki sam.
Wyznacz ten promień:
Niech P = (c, d) będzie środkiem szukanego okręgu.
Potrzeba teraz prostej prostopadłej do prostej x = 3 i przechodzącej przez punkt S. Oznacz ją jako k.
k:
k:
Do prostej k należy punkt P. Oznacz więc jego współrzędne jako: P = (c, -5).
Odległości punktów P i S od prostej x – 3 = 0 są takie same. Zapisz tę zależność w postaci równania:
Punkt P leży po przeciwnej stronie prostej x = 3 co punkt S, zatem warunki zadania spełnia wynik c = 8
P = (8, -5)
Współrzędne środka zostały znalezione, a promień był wyznaczony wcześniej, pozostaje zapisać równanie szukanego okręgu w postaci kanonicznej:
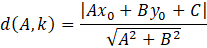
Z podanego równania okręgu wyznacz współrzędne jego środka oraz promień. Skorzystaj z zależności, że dla równania w postaci ogólnej:
Zauważ, że w wyniku rozpatrywanego przekształcenia zmienią się jedynie współrzędne środka okręgu. Aby go znaleźć, zwróć uwagę, że środki obu okręgów leżą na jednej prostej, która jest dodatkowo prostopadła do tej podanej w treści zadania, a ich odległości od niej są takie same.
Znajdź równanie tej wspólnej prostej, a następnie skorzystaj ze wzoru na odległość punktu od prostej (podanego niżej) i wyznacz środek szukanego okręgu.
Gdzie k: Ax + By + C = 0,
Ćwiczenie B.
217Ćwiczenie C.
218Zadanie 1.
220Zadanie 2.
220Zadanie 6.
220Zadanie 9.
221Zadanie 12.
221Zadanie 14.
221Zadanie 15.
221Zadanie 17.
221Zadanie 18.
222Zadanie 20.
222Zadanie 21.
222Ćwiczenie A.
223Ćwiczenie B.
224Przykład 2.
226Zadanie 1.
228Zadanie 2.
228Zadanie 4.
228Zadanie 5.
228Zadanie 7.
228Zadanie 8.
228Zadanie 9.
228Zadanie 11.
229Zadanie 12.
229Zadanie 14.
229Zadanie 15.
229Zadanie 16.
229Zadanie 1.
234Zadanie 3.
234Zadanie 4.
234Zadanie 6.
234Zadanie 7.
234Zadanie 8.
234Zadanie 9.
234Zadanie 13.
235Zadanie 15.
235Ćwiczenie B.
236Ćwiczenie C.
237Zadanie 1.
238Zadanie 3.
238Zadanie 4.
239Zadanie 5.
239Zadanie 6.
239Zadanie 8.
239Zadanie 9.
239Zadanie 10.
239Zadanie 11.
239Zadanie 12.
240Zadanie 13.
240Zadanie 1.
245Zadanie 2.
245Zadanie 5.
247Zadanie 6.
247Zadanie 7.
247Zadanie 8.
247Zadanie 11.
247Zadanie 12.
247Zadanie 15.
248Zadanie 16.
248Zadanie 17.
248Zadanie 18.
248Zadanie 1.
250Zadanie 7.
250Zadanie 8.
250