Dany jest okrąg wpisany w trójkąt prostokątny równoramienny tak, jak na rysunku w podręczniku. Wyznacz równanie tego okręgu.
Szukane równanie okręgu:
Wartość x0 można odczytać z rysunku, wynosi ona:
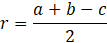
Okrąg jest wpisany w trójkąt prostokątny. Jego promień można zatem obliczyć ze wzoru:
gdzie a i b są przyprostokątnymi, a c jest przeciwprostokątną.
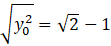
Z rysunku odczytaj także, że przeciwprostokątna ma długość 2, a przyprostokątne:
Zauważ, że odległość punktu S od początku układu współrzędnych jest równa promieniowi okręgu. Zatem:
Środek okręgu leży na dodatniej części osi y, zatem warunki zadania spełnia:
Szukane równanie okręgu ma zatem postać:
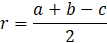
Zauważ, że okrąg jest wpisany w trójkąt prostokątny. Oblicz jego promień korzystając ze wzoru:
gdzie a i b są przyprostokątnymi, a c jest przeciwprostokątną.
Długości boków trójkąta odczytaj z rysunku.
Zwróć uwagę, że środek okręgu leży na osi y, jego pierwsza współrzędna wynosi zatem 0. Drugą możesz wyznaczyć, korzystając z faktu, że jego odległość od początku układu współrzędnych jest równa promieniowi okręgu.
Mając znaleziony promień oraz środek okręgu, zapisz jego równanie.
Ćwiczenie B.
217Ćwiczenie C.
218Zadanie 1.
220Zadanie 2.
220Zadanie 6.
220Zadanie 9.
221Zadanie 12.
221Zadanie 14.
221Zadanie 15.
221Zadanie 17.
221Zadanie 18.
222Zadanie 20.
222Zadanie 21.
222Ćwiczenie A.
223Ćwiczenie B.
224Przykład 2.
226Zadanie 1.
228Zadanie 2.
228Zadanie 4.
228Zadanie 5.
228Zadanie 7.
228Zadanie 8.
228Zadanie 9.
228Zadanie 11.
229Zadanie 12.
229Zadanie 14.
229Zadanie 15.
229Zadanie 16.
229Zadanie 1.
234Zadanie 3.
234Zadanie 4.
234Zadanie 6.
234Zadanie 7.
234Zadanie 8.
234Zadanie 9.
234Zadanie 13.
235Zadanie 15.
235Ćwiczenie B.
236Ćwiczenie C.
237Zadanie 1.
238Zadanie 3.
238Zadanie 4.
239Zadanie 5.
239Zadanie 6.
239Zadanie 8.
239Zadanie 9.
239Zadanie 10.
239Zadanie 11.
239Zadanie 12.
240Zadanie 13.
240Zadanie 1.
245Zadanie 2.
245Zadanie 5.
247Zadanie 6.
247Zadanie 7.
247Zadanie 8.
247Zadanie 11.
247Zadanie 12.
247Zadanie 15.
248Zadanie 16.
248Zadanie 17.
248Zadanie 18.
248Zadanie 1.
250Zadanie 7.
250Zadanie 8.
250