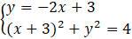
Dane są równania: prostej
Naszkicuj rysunek pomocniczy:
Z rysunku zauważ, że prosta oraz okrąg nie powinny mieć punktów wspólnych. Potwierdź to za pomocą obliczeń.
Ułóż i rozwiąż układ równań:
Podstaw równanie prostej do równania okręgu:
Oblicz wyróżnik wielomianu stopnia drugiego:
Nie istnieją rozwiązania równania w zbiorze liczb rzeczywistych. Okrąg i prosta nie mają wspólnych punktów.
Podstaw równanie prostej do równania okręgu. Oblicz wyróżnik otrzymanego wielomianu stopnia drugiego. Jest on mniejszy od zera, czyli nie ma on żadnych rozwiązań; okrąg i prosta się nie przecinają.
Ćwiczenie B.
217Ćwiczenie C.
218Zadanie 1.
220Zadanie 2.
220Zadanie 6.
220Zadanie 9.
221Zadanie 12.
221Zadanie 14.
221Zadanie 15.
221Zadanie 17.
221Zadanie 18.
222Zadanie 20.
222Zadanie 21.
222Ćwiczenie A.
223Ćwiczenie B.
224Przykład 2.
226Zadanie 1.
228Zadanie 2.
228Zadanie 4.
228Zadanie 5.
228Zadanie 7.
228Zadanie 8.
228Zadanie 9.
228Zadanie 11.
229Zadanie 12.
229Zadanie 14.
229Zadanie 15.
229Zadanie 16.
229Zadanie 1.
234Zadanie 3.
234Zadanie 4.
234Zadanie 6.
234Zadanie 7.
234Zadanie 8.
234Zadanie 9.
234Zadanie 13.
235Zadanie 15.
235Ćwiczenie B.
236Ćwiczenie C.
237Zadanie 1.
238Zadanie 3.
238Zadanie 4.
239Zadanie 5.
239Zadanie 6.
239Zadanie 8.
239Zadanie 9.
239Zadanie 10.
239Zadanie 11.
239Zadanie 12.
240Zadanie 13.
240Zadanie 1.
245Zadanie 2.
245Zadanie 5.
247Zadanie 6.
247Zadanie 7.
247Zadanie 8.
247Zadanie 11.
247Zadanie 12.
247Zadanie 15.
248Zadanie 16.
248Zadanie 17.
248Zadanie 18.
248Zadanie 1.
250Zadanie 7.
250Zadanie 8.
250