Dany jest okrąg o środku w punkcie (0, 0). Wiadomo, że przecina się on z wykresem funkcji y = x2 – 4 w dwóch punktach. Wyznacz jakie wartości może mieć jego promień.
Wprowadź oznaczenia:
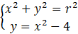
o: x2 + y2 = r2; r > 0 – promień okręgu
Przyrównując ze sobą równanie okręgu i paraboli otrzymasz punkty wspólne tych obiektów. Analizując liczbę rozwiązań powstałej równości, można ustalić liczbę tych punktów wspólnych:
Wstaw to wyrażenie do równania okręgu:
W zadaniu należy znaleźć takie wartości r, dla których powyższe równanie ma dwa rozwiązania.
Aby równanie miało dwa rozwiązania, musi być spełniona zależność:
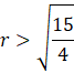
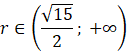
Z założeń: r > 0, zatem:
Odpowiedź:
Zauważ, że po przyrównaniu równań okręgu i paraboli otrzymasz równanie, z którego wyznaczyć można punkty wspólne obu obiektów.
Wykorzystaj tę zależność w znalezieniu ilości punktów wspólnych. Mając równanie kwadratowe, wyznacz jego wyróżnik i rozwiąż nierówność:
Ćwiczenie B.
217Ćwiczenie C.
218Zadanie 1.
220Zadanie 2.
220Zadanie 6.
220Zadanie 9.
221Zadanie 12.
221Zadanie 14.
221Zadanie 15.
221Zadanie 17.
221Zadanie 18.
222Zadanie 20.
222Zadanie 21.
222Ćwiczenie A.
223Ćwiczenie B.
224Przykład 2.
226Zadanie 1.
228Zadanie 2.
228Zadanie 4.
228Zadanie 5.
228Zadanie 7.
228Zadanie 8.
228Zadanie 9.
228Zadanie 11.
229Zadanie 12.
229Zadanie 14.
229Zadanie 15.
229Zadanie 16.
229Zadanie 1.
234Zadanie 3.
234Zadanie 4.
234Zadanie 6.
234Zadanie 7.
234Zadanie 8.
234Zadanie 9.
234Zadanie 13.
235Zadanie 15.
235Ćwiczenie B.
236Ćwiczenie C.
237Zadanie 1.
238Zadanie 3.
238Zadanie 4.
239Zadanie 5.
239Zadanie 6.
239Zadanie 8.
239Zadanie 9.
239Zadanie 10.
239Zadanie 11.
239Zadanie 12.
240Zadanie 13.
240Zadanie 1.
245Zadanie 2.
245Zadanie 5.
247Zadanie 6.
247Zadanie 7.
247Zadanie 8.
247Zadanie 11.
247Zadanie 12.
247Zadanie 15.
248Zadanie 16.
248Zadanie 17.
248Zadanie 18.
248Zadanie 1.
250Zadanie 7.
250Zadanie 8.
250