Wiedząc, że odcinek AB zapisano za pomocą układu równań
Odczytaj współrzędne punktów z rysunku obok.
Punkt A:
Punkt C:
Punkt
Punkt
Punkt
Punkt
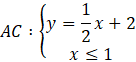
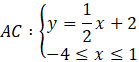
Opisz za pomocą układu równań odcinek AC:
Współrzędna x punktów należących do odcinka AC należy do przedziału od -4 do 1, a współrzędna y jest wyznaczana przez równanie
Opisz za pomocą układu równań odcinek DE:
Współrzędna x punktów należących do odcinka DE jest zawsze równa 2, a współrzędna y jest w przedziale od -3 do 2.
Oblicz równanie prostej, na której znajduje się odcinek FG:
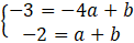
Odejmij równania od siebie:
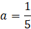
Wyznacz b:
Określ równanie kierunkowe prostej:
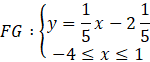
Opisz za pomocą układu równań odcinek FG:
Współrzędna x punktów należących do odcinka FG należy do przedziału od -4 do 1, a współrzędna y jest wyznaczana przez równanie
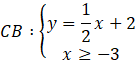
Opisz za pomocą układu równań półprostą CB:
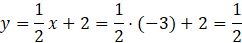
Współrzędna x punktów należących do półprostej CB są większe bądź równe -3, a współrzędna y jest wyznaczana przez równanie
Opisz za pomocą układu równań półprostą AC:
Współrzędna x punktów należących do półprostej AC są mniejsze bądź równe 1, a współrzędna y jest wyznaczana przez równanie
Pamiętaj, że równanie kierunkowe prostej ma postać
Ćwiczenie B.
217Ćwiczenie C.
218Zadanie 1.
220Zadanie 2.
220Zadanie 6.
220Zadanie 9.
221Zadanie 12.
221Zadanie 14.
221Zadanie 15.
221Zadanie 17.
221Zadanie 18.
222Zadanie 20.
222Zadanie 21.
222Ćwiczenie A.
223Ćwiczenie B.
224Przykład 2.
226Zadanie 1.
228Zadanie 2.
228Zadanie 4.
228Zadanie 5.
228Zadanie 7.
228Zadanie 8.
228Zadanie 9.
228Zadanie 11.
229Zadanie 12.
229Zadanie 14.
229Zadanie 15.
229Zadanie 16.
229Zadanie 1.
234Zadanie 3.
234Zadanie 4.
234Zadanie 6.
234Zadanie 7.
234Zadanie 8.
234Zadanie 9.
234Zadanie 13.
235Zadanie 15.
235Ćwiczenie B.
236Ćwiczenie C.
237Zadanie 1.
238Zadanie 3.
238Zadanie 4.
239Zadanie 5.
239Zadanie 6.
239Zadanie 8.
239Zadanie 9.
239Zadanie 10.
239Zadanie 11.
239Zadanie 12.
240Zadanie 13.
240Zadanie 1.
245Zadanie 2.
245Zadanie 5.
247Zadanie 6.
247Zadanie 7.
247Zadanie 8.
247Zadanie 11.
247Zadanie 12.
247Zadanie 15.
248Zadanie 16.
248Zadanie 17.
248Zadanie 18.
248Zadanie 1.
250Zadanie 7.
250Zadanie 8.
250