Mając dane punkty (-3, 4), (2, -2), (1, 5), które są wierzchołkami trójkąta, określ współrzędne punktu przecięcia się jego wysokości.
Podpisz podane współrzędne punktów:
Oblicz współczynnik kierunkowy prostej przechodzącej przez punkty A i B:
Oblicz współczynnik kierunkowy prostej przechodzącej przez punkty A i C:
Wyznacz współczynnik kierunkowy prostej prostopadłej do AB:
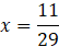
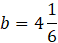
Wyznacz b, a następnie równanie prostej prostopadłej do AB przechodzącej przez punkt C:
Wyznacz współczynnik kierunkowy prostej prostopadłej do AC:
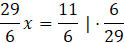
Wyznacz b, a następnie równanie prostej prostopadłej do AC przechodzącej przez punkt B:
Znajdź współrzędne punktu przecięcia obliczonych prostych:
Obliczone współrzędne to współrzędne ortocentrum.
Ortocentrum to punkt przecięcia się wysokości trójkąta, dlatego musisz wyznaczyć równanie prostych zawierających dwie wysokości trójkąta i znaleźć ich punkt przecięcia. Pamiętaj, że współczynniki kierunkowe prostych prostopadłych spełniają równanie
Ćwiczenie B.
217Ćwiczenie C.
218Zadanie 1.
220Zadanie 2.
220Zadanie 6.
220Zadanie 9.
221Zadanie 12.
221Zadanie 14.
221Zadanie 15.
221Zadanie 17.
221Zadanie 18.
222Zadanie 20.
222Zadanie 21.
222Ćwiczenie A.
223Ćwiczenie B.
224Przykład 2.
226Zadanie 1.
228Zadanie 2.
228Zadanie 4.
228Zadanie 5.
228Zadanie 7.
228Zadanie 8.
228Zadanie 9.
228Zadanie 11.
229Zadanie 12.
229Zadanie 14.
229Zadanie 15.
229Zadanie 16.
229Zadanie 1.
234Zadanie 3.
234Zadanie 4.
234Zadanie 6.
234Zadanie 7.
234Zadanie 8.
234Zadanie 9.
234Zadanie 13.
235Zadanie 15.
235Ćwiczenie B.
236Ćwiczenie C.
237Zadanie 1.
238Zadanie 3.
238Zadanie 4.
239Zadanie 5.
239Zadanie 6.
239Zadanie 8.
239Zadanie 9.
239Zadanie 10.
239Zadanie 11.
239Zadanie 12.
240Zadanie 13.
240Zadanie 1.
245Zadanie 2.
245Zadanie 5.
247Zadanie 6.
247Zadanie 7.
247Zadanie 8.
247Zadanie 11.
247Zadanie 12.
247Zadanie 15.
248Zadanie 16.
248Zadanie 17.
248Zadanie 18.
248Zadanie 1.
250Zadanie 7.
250Zadanie 8.
250