Dana jest prosta: -3x + 2y – 1 = 0, na której leżą punkty A i B. Razem z punktem C = (-3, -1) tworzą one trójkąt o polu 21. Wyznacz |AB|.
Niech k: -3x + 2y – 1 = 0
Stwórz rysunek poglądowy:
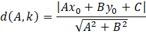
Odcinek CD jest prostopadły do prostej k. Jest on także wysokością trójkąta ABC, a jego długość można obliczyć ze wzoru na odległość punktu od prostej:
Pole trójkąta ABC można obliczyć go ze wzoru:
W treści zadania podano, że wynosi ono 21, zatem:
Stwórz rysunek poglądowy. Zauważ, że odcinek poprowadzony z punktu C do podanej prostej i jednocześnie prostopadły do niej, jest wysokością trójkąta ABC. Długość tej wysokości oblicz ze wzoru na odległość punktu od prostej (punktu C od prostej podanej w treści zadania):
Gdzie k: Ax + By + C = 0,
Wstaw obliczoną wysokość do wzoru na pole trójkąta.
Wstawiając podaną w treści wartość pola, powstaje równanie. Oblicz z niego szukaną długość podstawy AB.
Ćwiczenie B.
217Ćwiczenie C.
218Zadanie 1.
220Zadanie 2.
220Zadanie 6.
220Zadanie 9.
221Zadanie 12.
221Zadanie 14.
221Zadanie 15.
221Zadanie 17.
221Zadanie 18.
222Zadanie 20.
222Zadanie 21.
222Ćwiczenie A.
223Ćwiczenie B.
224Przykład 2.
226Zadanie 1.
228Zadanie 2.
228Zadanie 4.
228Zadanie 5.
228Zadanie 7.
228Zadanie 8.
228Zadanie 9.
228Zadanie 11.
229Zadanie 12.
229Zadanie 14.
229Zadanie 15.
229Zadanie 16.
229Zadanie 1.
234Zadanie 3.
234Zadanie 4.
234Zadanie 6.
234Zadanie 7.
234Zadanie 8.
234Zadanie 9.
234Zadanie 13.
235Zadanie 15.
235Ćwiczenie B.
236Ćwiczenie C.
237Zadanie 1.
238Zadanie 3.
238Zadanie 4.
239Zadanie 5.
239Zadanie 6.
239Zadanie 8.
239Zadanie 9.
239Zadanie 10.
239Zadanie 11.
239Zadanie 12.
240Zadanie 13.
240Zadanie 1.
245Zadanie 2.
245Zadanie 5.
247Zadanie 6.
247Zadanie 7.
247Zadanie 8.
247Zadanie 11.
247Zadanie 12.
247Zadanie 15.
248Zadanie 16.
248Zadanie 17.
248Zadanie 18.
248Zadanie 1.
250Zadanie 7.
250Zadanie 8.
250