Mając dane proste o równaniach 5x + 12y + 2 = 0 i 3x + 4y + 2 = 0, określ równanie prostej, która pokrywa się z dwusieczną utworzoną przez przecięcie tych prostych. Opisz każdą możliwość.
Zauważ, że dwusieczna jest w takiej samej odległości od obydwu podanych prostych. Wyznacz równanie prostych równoległych do tych prostych i oblicz ich punkt przecięcia, gdyż będzie znajdować się on na dwusiecznej.
Wyznacz współrzędne punktu S, który będzie punktem przecięcia podanych prostych:
Podstaw x pod dowolne z równań:
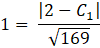
Wyznacz równanie prostej równoległej do 3x + 4y + 2 = 0 oddalonej o 1. Wykorzystaj do tego wzór na odległość pomiędzy prostymi równoległymi:
Wybierz tylko jedno z równań.
Wybrane równanie to
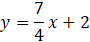
Wyznacz równanie prostej równoległej do 5x + 12y + 2 = 0 oddalonej o 1. Wykorzystaj do tego wzór na odległość pomiędzy prostymi równoległymi:
Obydwie odpowiedzi są poprawne. Zostaną one użyte do rozpatrzenia dwóch przypadków.
I przypadek, równanie prostej równoległej do 5x + 12y – 11 = 0 to 5x + 12y - 11 = 0.
Oblicz współrzędne punktu A, który będzie punktem przecięcia prostej 5x + 12y – 11 = 0 oraz 3x + 4y + 7 = 0:
Podstaw x pod dowolne z równań:
Wykorzystaj wzór na współczynnik kierunkowy prostej przechodzącej przez dwa punkty S i A:
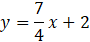
Wyznacz b, a następnie równanie prostej przechodzącej przez punkty S i A:
Przekształć to równanie na postać ogólną:
II przypadek, równanie prostej równoległej do 5x + 12y – 11 = 0 to 5x + 12y + 15 = 0.
Oblicz współrzędne punktu B, który będzie punktem przecięcia prostej 5x + 12y + 15 = 0 oraz 3x + 4y + 7 = 0:
Podstaw x pod dowolne z równań:
Wykorzystaj wzór na współczynnik kierunkowy prostej przechodzącej przez dwa punkty S i B:
Wyznacz b, a następnie równanie prostej przechodzącej przez punkty S i B:
Przekształć to równanie na postać ogólną:
Odpowiedź: Równania prostych zawierające dwusieczne to: 16x + 28y + 9 = 0 oraz 7x – 4y + 8 = 0.
Zauważ, że jeśli stworzysz równoległe proste do podanych prostych, oddalone o taki sam dystans to przetną się one w punkcie należącym do dwusiecznej. Wynika to z tego, że odległość podanych prostych od dwusiecznej jest taka sama. Mając punkt należący do dwusiecznej, będziesz w stanie obliczyć jej równanie. Podczas obliczania równania prostej równoległej od jednej z prostych, wyznaczysz dwa równania takiej prostej, będą to Twoje dwa przypadki do rozpatrzenia.
Na początku oblicz współrzędne punktu przecięcia podanych prostych i nazwij go S. Następnie oblicz równania prostych równoległych do prostej 3x + 4y + 2 = 0, wykorzystując wzór na odległość między prostymi równoległymi o równaniach
W obydwu przypadkach obliczasz współrzędne punktu przecięcia wybranej prostej, równoległej do prostej 3x + 4y + 2 = 0, oraz rozpatrywanej w danym przypadku prostej, równoległej do 5x + 12y + 2 = 0. Po obliczeniu współrzędnych punktu wykorzystujesz go oraz punkt S do obliczenia współczynnika kierunkowego prostej, zawierającej dwusieczną poszukiwanego kąta. Skorzystaj ze wzoru na współczynnik kierunkowy
Ćwiczenie B.
217Ćwiczenie C.
218Zadanie 1.
220Zadanie 2.
220Zadanie 6.
220Zadanie 9.
221Zadanie 12.
221Zadanie 14.
221Zadanie 15.
221Zadanie 17.
221Zadanie 18.
222Zadanie 20.
222Zadanie 21.
222Ćwiczenie A.
223Ćwiczenie B.
224Przykład 2.
226Zadanie 1.
228Zadanie 2.
228Zadanie 4.
228Zadanie 5.
228Zadanie 7.
228Zadanie 8.
228Zadanie 9.
228Zadanie 11.
229Zadanie 12.
229Zadanie 14.
229Zadanie 15.
229Zadanie 16.
229Zadanie 1.
234Zadanie 3.
234Zadanie 4.
234Zadanie 6.
234Zadanie 7.
234Zadanie 8.
234Zadanie 9.
234Zadanie 13.
235Zadanie 15.
235Ćwiczenie B.
236Ćwiczenie C.
237Zadanie 1.
238Zadanie 3.
238Zadanie 4.
239Zadanie 5.
239Zadanie 6.
239Zadanie 8.
239Zadanie 9.
239Zadanie 10.
239Zadanie 11.
239Zadanie 12.
240Zadanie 13.
240Zadanie 1.
245Zadanie 2.
245Zadanie 5.
247Zadanie 6.
247Zadanie 7.
247Zadanie 8.
247Zadanie 11.
247Zadanie 12.
247Zadanie 15.
248Zadanie 16.
248Zadanie 17.
248Zadanie 18.
248Zadanie 1.
250Zadanie 7.
250Zadanie 8.
250