Wiedząc, że punkty A i B leżą na dwóch różnych gałęziach hiperboli
Określ współrzędne A oraz B:
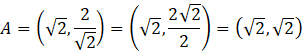
Skoro a > 0 to wierzchołki hiperboli leżą na prostej y = x, stąd:
Powyższe liczby to pierwsze współrzędne wierzchołków hiperboli.
A więc współrzędne wierzchołków hiperboli to:
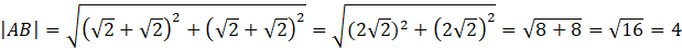
Wykorzystaj wzór na odległość między punktami w układzie współrzędnych do obliczenia odległości:
Zauważ, że jeśli a > 0 to wierzchołki gałęzi hiperboli leżą na prostej y = x. Wykorzystaj poprzednią informację do obliczenia wartości x, a następnie skorzystaj ze wzoru na odległość między punktami w układzie współrzędnych
Ćwiczenie B.
217Ćwiczenie C.
218Zadanie 1.
220Zadanie 2.
220Zadanie 6.
220Zadanie 9.
221Zadanie 12.
221Zadanie 14.
221Zadanie 15.
221Zadanie 17.
221Zadanie 18.
222Zadanie 20.
222Zadanie 21.
222Ćwiczenie A.
223Ćwiczenie B.
224Przykład 2.
226Zadanie 1.
228Zadanie 2.
228Zadanie 4.
228Zadanie 5.
228Zadanie 7.
228Zadanie 8.
228Zadanie 9.
228Zadanie 11.
229Zadanie 12.
229Zadanie 14.
229Zadanie 15.
229Zadanie 16.
229Zadanie 1.
234Zadanie 3.
234Zadanie 4.
234Zadanie 6.
234Zadanie 7.
234Zadanie 8.
234Zadanie 9.
234Zadanie 13.
235Zadanie 15.
235Ćwiczenie B.
236Ćwiczenie C.
237Zadanie 1.
238Zadanie 3.
238Zadanie 4.
239Zadanie 5.
239Zadanie 6.
239Zadanie 8.
239Zadanie 9.
239Zadanie 10.
239Zadanie 11.
239Zadanie 12.
240Zadanie 13.
240Zadanie 1.
245Zadanie 2.
245Zadanie 5.
247Zadanie 6.
247Zadanie 7.
247Zadanie 8.
247Zadanie 11.
247Zadanie 12.
247Zadanie 15.
248Zadanie 16.
248Zadanie 17.
248Zadanie 18.
248Zadanie 1.
250Zadanie 7.
250Zadanie 8.
250