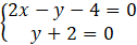
Mając dane proste o równaniach 2x – y – 4 = 0, 2x + y – 8 = 0 i y + 2 = 0, których przecięcia wyznaczają wierzchołki trójkąta, określ położenie środka okręgu, w który wpisano ten trójkąt.
Współrzędne środka okręgu to:
Oblicz współrzędne wierzchołków.
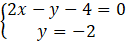
Wierzchołek A:
Podstaw y:
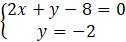
Wierzchołek B:
Podstaw y:
Wierzchołek C:
Oblicz x:
Skoro trójkąt jest wpisany w okrąg to |AS|=|BS|:
Uprość wyrażenie:
Skoro trójkąt jest wpisany w okrąg to |AS|=|CS|:
Współrzędne środka okręgu to:
Oblicz współrzędne wierzchołków podanego trójkąta i oznacz je literami. Współrzędne obliczysz poprzez wyznaczenie miejsc przecięcia prostych. Zauważ, że promień ma taką samą długość do każdego z wierzchołków, dlatego możesz stworzyć równanie porównujące długość promienia do dwóch różnych wierzchołków. Do obliczenia długości wykorzystaj wzór
Ćwiczenie B.
217Ćwiczenie C.
218Zadanie 1.
220Zadanie 2.
220Zadanie 6.
220Zadanie 9.
221Zadanie 12.
221Zadanie 14.
221Zadanie 15.
221Zadanie 17.
221Zadanie 18.
222Zadanie 20.
222Zadanie 21.
222Ćwiczenie A.
223Ćwiczenie B.
224Przykład 2.
226Zadanie 1.
228Zadanie 2.
228Zadanie 4.
228Zadanie 5.
228Zadanie 7.
228Zadanie 8.
228Zadanie 9.
228Zadanie 11.
229Zadanie 12.
229Zadanie 14.
229Zadanie 15.
229Zadanie 16.
229Zadanie 1.
234Zadanie 3.
234Zadanie 4.
234Zadanie 6.
234Zadanie 7.
234Zadanie 8.
234Zadanie 9.
234Zadanie 13.
235Zadanie 15.
235Ćwiczenie B.
236Ćwiczenie C.
237Zadanie 1.
238Zadanie 3.
238Zadanie 4.
239Zadanie 5.
239Zadanie 6.
239Zadanie 8.
239Zadanie 9.
239Zadanie 10.
239Zadanie 11.
239Zadanie 12.
240Zadanie 13.
240Zadanie 1.
245Zadanie 2.
245Zadanie 5.
247Zadanie 6.
247Zadanie 7.
247Zadanie 8.
247Zadanie 11.
247Zadanie 12.
247Zadanie 15.
248Zadanie 16.
248Zadanie 17.
248Zadanie 18.
248Zadanie 1.
250Zadanie 7.
250Zadanie 8.
250