Dany jest okrąg o promieniu długości 3 i środku w punkcie o współrzędnych (2, -1). Prosta 2y – x + 1 = 0 przecięła ten okrąg w dwóch punktach. Wyznacz długość powstałego w ten sposób odcinka.
Wprowadź oznaczenia:
o:
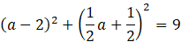
(x – 2)2 + (y + 1)2 = 9
S = (2, -1)
r = 3
k:
2y – x + 1 = 0
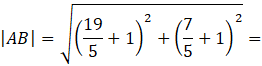
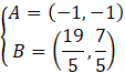
W zadaniu szukana jest długość odcinka AB. Punkty te leżą na prostej k, zatem ich współrzędne można zapisać jako:
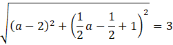
|AS| = |BS| = r = 3
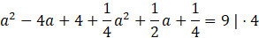
Obie strony równania są nieujemne, można je zatem podnieść obustronnie do kwadratu:
Porównaj otrzymane liczby z rysunkiem i zauważ, że liczba a = -1 jest pierwszą współrzędną punktu A, natomiast
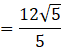
Na koniec pozostaje obliczyć długość odcinka AB:
Stwórz rysunek pomocniczy i wprowadź odpowiednie oznaczenia. Zauważ, że odległość punktów będących końcami cięciwy do środka okręgu jest promieniem, którego długość została podana i wynosi 3.
Zamień równanie podanej prostej na postać kierunkową i wyznacz współrzędne końców cięciwy na przykładowych liczbach.
Przyrównaj długość odcinka pomiędzy końcem cięciwy a środkiem okręgu do liczby 3 i rozwiąż powstałe równanie. Wyznacz z niego współrzędne końców cięciwy.
Oblicz jej długość ze wzoru na długość odcinka:
Ćwiczenie B.
217Ćwiczenie C.
218Zadanie 1.
220Zadanie 2.
220Zadanie 6.
220Zadanie 9.
221Zadanie 12.
221Zadanie 14.
221Zadanie 15.
221Zadanie 17.
221Zadanie 18.
222Zadanie 20.
222Zadanie 21.
222Ćwiczenie A.
223Ćwiczenie B.
224Przykład 2.
226Zadanie 1.
228Zadanie 2.
228Zadanie 4.
228Zadanie 5.
228Zadanie 7.
228Zadanie 8.
228Zadanie 9.
228Zadanie 11.
229Zadanie 12.
229Zadanie 14.
229Zadanie 15.
229Zadanie 16.
229Zadanie 1.
234Zadanie 3.
234Zadanie 4.
234Zadanie 6.
234Zadanie 7.
234Zadanie 8.
234Zadanie 9.
234Zadanie 13.
235Zadanie 15.
235Ćwiczenie B.
236Ćwiczenie C.
237Zadanie 1.
238Zadanie 3.
238Zadanie 4.
239Zadanie 5.
239Zadanie 6.
239Zadanie 8.
239Zadanie 9.
239Zadanie 10.
239Zadanie 11.
239Zadanie 12.
240Zadanie 13.
240Zadanie 1.
245Zadanie 2.
245Zadanie 5.
247Zadanie 6.
247Zadanie 7.
247Zadanie 8.
247Zadanie 11.
247Zadanie 12.
247Zadanie 15.
248Zadanie 16.
248Zadanie 17.
248Zadanie 18.
248Zadanie 1.
250Zadanie 7.
250Zadanie 8.
250