Dany jest okręg o równaniu
T:
Równanie prostej stycznej do okręgu
D:
Naszkicuj rysunek pomocniczy:
Zauważ, że promień łączący prostą styczną do okręgu ze środkiem okręgi jest ramieniem pewnego kąta α. Tangens tego kąta jest równy:
Zauważ, że współczynnik kierunkowy prostej jest równy tangensowi kąta między tą osią a osią OX:
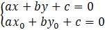
Ułóż równanie kierunkowe prostej przechodzącej przez punkt 𝑃:
Odejmij stronami:
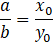
Iloraz przy 𝑥 to współczynnik kierunkowy, czyli zachodzi równość:
Czyli:
Zauważ, że skoro punkt 𝑃 należy do okręgu, to masz:
Czyli:
Wykorzystaj definicję tangensa, cotangensa oraz wzory redukcyjne, żeby wyznaczyć współczynnik kierunkowy prostej jako iloraz współrzędnych punktu 𝑃. Wyznacz równanie ogólne prostej przechodzącej przez punkt 𝑃 i przekształć je w postać kierunkową. Porównaj współczynniki kierunkowe i podstaw odpowiednie zmienne do wzoru ogólnego funkcji. Zauważ, że kwadrat promienia to suma kwadratów współrzędnych punktu leżącego na okręgu.
Ćwiczenie B.
217Ćwiczenie C.
218Zadanie 1.
220Zadanie 2.
220Zadanie 6.
220Zadanie 9.
221Zadanie 12.
221Zadanie 14.
221Zadanie 15.
221Zadanie 17.
221Zadanie 18.
222Zadanie 20.
222Zadanie 21.
222Ćwiczenie A.
223Ćwiczenie B.
224Przykład 2.
226Zadanie 1.
228Zadanie 2.
228Zadanie 4.
228Zadanie 5.
228Zadanie 7.
228Zadanie 8.
228Zadanie 9.
228Zadanie 11.
229Zadanie 12.
229Zadanie 14.
229Zadanie 15.
229Zadanie 16.
229Zadanie 1.
234Zadanie 3.
234Zadanie 4.
234Zadanie 6.
234Zadanie 7.
234Zadanie 8.
234Zadanie 9.
234Zadanie 13.
235Zadanie 15.
235Ćwiczenie B.
236Ćwiczenie C.
237Zadanie 1.
238Zadanie 3.
238Zadanie 4.
239Zadanie 5.
239Zadanie 6.
239Zadanie 8.
239Zadanie 9.
239Zadanie 10.
239Zadanie 11.
239Zadanie 12.
240Zadanie 13.
240Zadanie 1.
245Zadanie 2.
245Zadanie 5.
247Zadanie 6.
247Zadanie 7.
247Zadanie 8.
247Zadanie 11.
247Zadanie 12.
247Zadanie 15.
248Zadanie 16.
248Zadanie 17.
248Zadanie 18.
248Zadanie 1.
250Zadanie 7.
250Zadanie 8.
250