Wiedząc, że pewna figura jest równoległobokiem, którego współrzędne trzech wierzchołków są wymierne, wykaż, że współrzędne ostatniego wierzchołka też są wymierne.
T:
D:
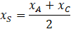
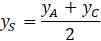
Wyznacz współrzędne punktu przecięcia się przekątnych:
Współrzędne punktu przecięcia się przekątnych składa się z samych liczb wymiernych, a więc jest liczbą wymierną.
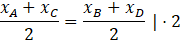
Skorzystaj ze wzoru na obliczanie punktu środkowego odcinka oraz obliczonego środka symetrii, aby obliczyć współrzędne punktu D:
Współrzędne ostatniego wierzchołka składają się ze współrzędnych wymiernych, znanych wierzchołków.
Suma lub różnica dwóch liczb wymiernych dalej pozostaje liczbą wymierną.
Udowadnia to, że jeśli trzy wierzchołki równoległoboku mają trzy współrzędne wymierne, to czwarta współrzędna też jest wymierna. Co kończy dowód.
Skorzystaj ze wzoru na obliczanie punktu środkowego odcinka,
Ćwiczenie B.
217Ćwiczenie C.
218Zadanie 1.
220Zadanie 2.
220Zadanie 6.
220Zadanie 9.
221Zadanie 12.
221Zadanie 14.
221Zadanie 15.
221Zadanie 17.
221Zadanie 18.
222Zadanie 20.
222Zadanie 21.
222Ćwiczenie A.
223Ćwiczenie B.
224Przykład 2.
226Zadanie 1.
228Zadanie 2.
228Zadanie 4.
228Zadanie 5.
228Zadanie 7.
228Zadanie 8.
228Zadanie 9.
228Zadanie 11.
229Zadanie 12.
229Zadanie 14.
229Zadanie 15.
229Zadanie 16.
229Zadanie 1.
234Zadanie 3.
234Zadanie 4.
234Zadanie 6.
234Zadanie 7.
234Zadanie 8.
234Zadanie 9.
234Zadanie 13.
235Zadanie 15.
235Ćwiczenie B.
236Ćwiczenie C.
237Zadanie 1.
238Zadanie 3.
238Zadanie 4.
239Zadanie 5.
239Zadanie 6.
239Zadanie 8.
239Zadanie 9.
239Zadanie 10.
239Zadanie 11.
239Zadanie 12.
240Zadanie 13.
240Zadanie 1.
245Zadanie 2.
245Zadanie 5.
247Zadanie 6.
247Zadanie 7.
247Zadanie 8.
247Zadanie 11.
247Zadanie 12.
247Zadanie 15.
248Zadanie 16.
248Zadanie 17.
248Zadanie 18.
248Zadanie 1.
250Zadanie 7.
250Zadanie 8.
250