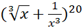
Należy podać, który wyraz rozwinięcia
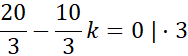
Wiadomo, że
Teraz sprawdźmy, dla jakiego k wyrażenie
Zadanie 3.5.
79Zadanie 3.6.
80Zadanie 3.10.
80Zadanie 3.12.
80Zadanie 3.14.
80Zadanie 3.15.
81Zadanie 3.17.
81Zadanie 3.18.
80Zadanie 3.19.
80Zadanie 3.20.
82Zadanie 3.21.
82Zadanie 3.22.
82Zadanie 3.23.
82Zadanie 3.25.
81Zadanie 3.26.
82Zadanie 3.27.
82Zadanie 3.28.
82Zadanie 3.30.
82Zadanie 3.33.
83Zadanie 3.36.
83Zadanie 3.40.
83Zadanie 3.41.
84Zadanie 3.43.
84Zadanie 3.44.
84Zadanie 3.45.
84Zadanie 3.46.
84Zadanie 3.47.
84Zadanie 3.48.
84Zadanie 3.50.
85Zadanie 3.51.
85Zadanie 3.52.
85Zadanie 3.58.
86Zadanie 3.59.
86Zadanie 3.60.
86Zadanie 3.61.
86Zadanie 3.62.
86Zadanie 3.65.
86Zadanie 3.67.
87Zadanie 3.68.
87Zadanie 3.69.
87Zadanie 3.70.
87Zadanie 3.71.
87Zadanie 3.72.
87Zadanie 3.73.
88Zadanie 3.74.
88Zadanie 3.75.
88Zadanie 3.76.
88Zadanie 3.77.
88Zadanie 3.78.
88Zadanie 3.79.
88Zadanie 3.80.
89Zadanie 3.81.
89Zadanie 3.82.
89Zadanie 3.83.
89Zadanie 3.86.
90Zadanie 3.90.
90Zadanie 3.92.
90Zadanie 3.93.
91Zadanie 3.94.
91Zadanie 3.95.
91Zadanie 3.96.
91Zadanie 3.97.
91Zadanie 3.98.
92Zadanie 3.99.
92Zadanie 3.100.
92Zadanie 3.104.
93Zadanie 3.105.
93Zadanie 3.110.
93Zadanie 3.111.
93Zadanie 3.117.
94Zadanie 3.118.
94Zadanie 3.122.
94Zadanie 3.123.
95Zadanie 3.124.
95Zadanie 3.125.
95Zadanie 3.126.
95Zadanie 3.128.
96Zadanie 3.129.
96Zadanie 3.130.
96Zadanie 3.131.
96Zadanie 3.132.
97Zadanie 3.136.
97Zadanie 3.138.
97Zadanie 3.13.
99Zadanie 3.14.
100Zadanie 3.16.
100Zadanie 3.17.
100Zadanie 3.18.
100Zadanie 3.19.
100Zadanie 3.20.
100Zadanie 3.21.
100Zadanie 3.22.
101Zadanie 3.23.
101Zadanie 3.24.
101Zadanie 3.25.
101Zadanie 3.27.
101Zadanie 3.28.
101Zadanie 3.29.
101Zadanie 3.30.
101Zadanie 3.32.
102Zadanie 3.35.
102