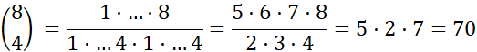
Należy obliczyć wyrażenie
Symbol Newtona definiujemy jako
Zadanie 3.5.
79Zadanie 3.6.
79Zadanie 3.10.
80Zadanie 3.12.
80Zadanie 3.14.
80Zadanie 3.15.
80Zadanie 3.17.
80Zadanie 3.18.
80Zadanie 3.19.
80Zadanie 3.20.
80Zadanie 3.21.
80Zadanie 3.22.
80Zadanie 3.23.
80Zadanie 3.25.
81Zadanie 3.26.
82Zadanie 3.27.
82Zadanie 3.28.
82Zadanie 3.30.
82Zadanie 3.33.
82Zadanie 3.36.
82Zadanie 3.40.
83Zadanie 3.41.
83Zadanie 3.43.
83Zadanie 3.44.
83Zadanie 3.45.
83Zadanie 3.46.
83Zadanie 3.47.
84Zadanie 3.48.
84Zadanie 3.50.
84Zadanie 3.51.
84Zadanie 3.52.
84Zadanie 3.58.
85Zadanie 3.59.
85Zadanie 3.60.
85Zadanie 3.61.
85Zadanie 3.62.
85Zadanie 3.65.
86Zadanie 3.67.
86Zadanie 3.68.
86Zadanie 3.69.
86Zadanie 3.70.
86Zadanie 3.71.
86Zadanie 3.72.
86Zadanie 3.73.
87Zadanie 3.74.
87Zadanie 3.75.
87Zadanie 3.76.
87Zadanie 3.77.
87Zadanie 3.78.
87Zadanie 3.79.
88Zadanie 3.80.
88Zadanie 3.81.
88Zadanie 3.82.
88Zadanie 3.83.
88Zadanie 3.86.
89Zadanie 3.90.
89Zadanie 3.92.
89Zadanie 3.93.
89Zadanie 3.94.
90Zadanie 3.95.
90Zadanie 3.96.
90Zadanie 3.97.
90Zadanie 3.98.
90Zadanie 3.99.
91Zadanie 3.100.
91Zadanie 3.104.
91Zadanie 3.105.
91Zadanie 3.110.
92Zadanie 3.111.
92Zadanie 3.117.
92Zadanie 3.118.
93Zadanie 3.122.
93Zadanie 3.123.
93Zadanie 3.124.
93Zadanie 3.125.
93Zadanie 3.126.
94Zadanie 3.128.
94Zadanie 3.129.
94Zadanie 3.130.
94Zadanie 3.131.
95Zadanie 3.132.
95Zadanie 3.136.
95Zadanie 3.138.
96Zadanie 3.13.
97Zadanie 3.14.
98Zadanie 3.16.
98Zadanie 3.17.
98Zadanie 3.18.
98Zadanie 3.19.
98Zadanie 3.20.
98Zadanie 3.21.
99Zadanie 3.22.
99Zadanie 3.23.
99Zadanie 3.24.
99Zadanie 3.25.
99Zadanie 3.27.
99Zadanie 3.28.
99Zadanie 3.29.
99Zadanie 3.30.
100Zadanie 3.32.
100Zadanie 3.35.
100