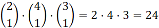
W tabeli jest przedstawiona liczba fotografii, na której znajdują się konkretne osoby z pięcioosobowej rodziny (rodzice i trójką dzieci). Na ile sposobów można tak wybrać trzy zdjęcia, aby na jednym z nich byli tylko rodzice, na drugim tylko dzieci, a na ostatnim cała rodzina?
Pierwsze zdjęcie wybierasz z puli dwóch, na którym są tylko rodzice, drugie spośród czterech, na którym są tylko dzieci, a ostatnie możesz wybrać z trzech możliwych, na których jest cała rodzina.
Zadanie 3.5.
79Zadanie 3.6.
80Zadanie 3.10.
80Zadanie 3.12.
80Zadanie 3.14.
80Zadanie 3.15.
81Zadanie 3.17.
81Zadanie 3.18.
80Zadanie 3.19.
80Zadanie 3.20.
82Zadanie 3.21.
82Zadanie 3.22.
82Zadanie 3.23.
82Zadanie 3.25.
81Zadanie 3.26.
82Zadanie 3.27.
82Zadanie 3.28.
82Zadanie 3.30.
82Zadanie 3.33.
83Zadanie 3.36.
83Zadanie 3.40.
83Zadanie 3.41.
84Zadanie 3.43.
84Zadanie 3.44.
84Zadanie 3.45.
84Zadanie 3.46.
84Zadanie 3.47.
84Zadanie 3.48.
84Zadanie 3.50.
85Zadanie 3.51.
85Zadanie 3.52.
85Zadanie 3.58.
86Zadanie 3.59.
86Zadanie 3.60.
86Zadanie 3.61.
86Zadanie 3.62.
86Zadanie 3.65.
86Zadanie 3.67.
87Zadanie 3.68.
87Zadanie 3.69.
87Zadanie 3.70.
87Zadanie 3.71.
87Zadanie 3.72.
87Zadanie 3.73.
88Zadanie 3.74.
88Zadanie 3.75.
88Zadanie 3.76.
88Zadanie 3.77.
88Zadanie 3.78.
88Zadanie 3.79.
88Zadanie 3.80.
89Zadanie 3.81.
89Zadanie 3.82.
89Zadanie 3.83.
89Zadanie 3.86.
90Zadanie 3.90.
90Zadanie 3.92.
90Zadanie 3.93.
91Zadanie 3.94.
91Zadanie 3.95.
91Zadanie 3.96.
91Zadanie 3.97.
91Zadanie 3.98.
92Zadanie 3.99.
92Zadanie 3.100.
92Zadanie 3.104.
93Zadanie 3.105.
93Zadanie 3.110.
93Zadanie 3.111.
93Zadanie 3.117.
94Zadanie 3.118.
94Zadanie 3.122.
94Zadanie 3.123.
95Zadanie 3.124.
95Zadanie 3.125.
95Zadanie 3.126.
95Zadanie 3.128.
96Zadanie 3.129.
96Zadanie 3.130.
96Zadanie 3.131.
96Zadanie 3.132.
97Zadanie 3.136.
97Zadanie 3.138.
97Zadanie 3.13.
99Zadanie 3.14.
100Zadanie 3.16.
100Zadanie 3.17.
100Zadanie 3.18.
100Zadanie 3.19.
100Zadanie 3.20.
100Zadanie 3.21.
100Zadanie 3.22.
101Zadanie 3.23.
101Zadanie 3.24.
101Zadanie 3.25.
101Zadanie 3.27.
101Zadanie 3.28.
101Zadanie 3.29.
101Zadanie 3.30.
101Zadanie 3.32.
102Zadanie 3.35.
102