Oblicz pamiętając o kolejności wykonywania działań. 1. Działania w nawiasach 2. Mnożenie i dzielenie 3.Dodawanie i odejmowanie
Dzielenie ułamków zwykłych polega na zamianie tego działania na mnożenie przez odwrotność dzielnika.
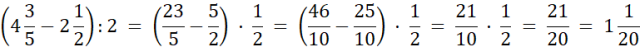
Zadanie 3.
247Zadanie 4.
247Zadanie 5.
247Zadanie 6.
247Zadanie 7.
247Zadanie 8.
247Zadanie 9.
247Zadanie 11
247Zadanie 12.
248Zadanie 13
247Zadanie 14.
248Zadanie 15.
248Zadanie 16
248Zadanie 17.
248Zadanie 18.
248Zadanie 19.
248Zadanie 20
248Zadanie 21
248Zadanie 22
249Zadanie 24
249Zadanie 25.
249Zadanie 26
249Zadanie 27.
249Zadanie 28.
249Zadanie 29
249Zadanie 30
249Zadanie 31
249Zadanie 32.
249Zadanie 33.
249Zadanie 36
250Zadanie 37
250Zadanie 39.
250Zadanie 41
250Zadanie 44.
250Zadanie 45.
250Zadanie 46
251Zadanie 47
251Zadanie 48
251Zadanie 49
251Zadanie 50.
251Zadanie 51
251Zadanie 52
251Zadanie 53
251Zadanie 54
252Zadanie 55
252Zadanie 56
252Zadanie 57
252Zadanie 58
252Zadanie 59
252Zadanie 60
252Zadanie 61
252Zadanie 62
252Zadanie 63
252Zadanie 64
253Zadanie 65
253Zadanie 66
253Zadanie 67
253Zadanie 68
253Zadanie 69
253Zadanie 70
253Zadanie 71
253Zadanie 72
254Zadanie 74
254Zadanie 77
254Zadanie 78
254Zadanie 79
254Zadanie 80
254Zadanie 81
255Zadanie 82
255Zadanie 83
255Zadanie 84
255Zadanie 85
255Zadanie 86
255Zadanie 88
255Zadanie 92
256Zadanie 93
256Zadanie 97
256Zadanie 98
254Zadanie 99
256Zadanie 100
251Zadanie 101
256Zadanie 102
257Zadanie 103
257Zadanie 106
257Zadanie 107
257Zadanie 108
257Zadanie 109.
257Zadanie 110.
257Zadanie 111.
257Zadanie 112
257Zadanie 113
257