Musisz obliczyć, ile było ocen pozytywnych, a ile – negatywnych oraz jaki procent wszystkich ocen stanowiły oceny pozytywne? Odpowiedź podaj z dokładnością do 1%.
x – ilość ocen pozytywnych
x + 132 – ilość ocen negatywnych
x + x + 132 = 392
2x + 132 = 392
2x = 260 / :2
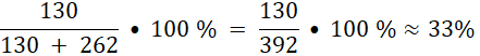
x = 130 – ilość ocen pozytywnych
130 + 132 = 262 – ilość ocen negatywnych
Gdy zamieniasz ułamek na procent, wystarczy, że pomnożysz ten ułamek przez 100 i dopiszesz znak %.
Zadanie A
120Zadanie B
120Zadanie C
120Zadanie E
120Zadanie F
120Zadanie 1
122Zadanie 2
122Zadanie 3
122Zadanie 9
124Zadanie 10
124Zadanie 11
124Zadanie A
125Zadanie B
125Zadanie C
125Zadanie D
125Zadanie 1
127Zadanie 2
127Zadanie 3
127Zadanie 4
127Zadanie 5
128Zadanie 8
128Zadanie 10
129Zadanie 2
132Zadanie 5
132Zadanie 7
133Zadanie 8
133Zadanie 9
133Zadanie 1
136Zadanie 2
136Zadanie 3
137Zadanie 4
137Zadanie 5
138Zadanie 6
139Ćwiczenie test1
140Zadanie 1
141Zadanie 2
141Zadanie 1
143Zadanie 2
143Zadanie 3
143Zadanie 4
144Zadanie 5
144Zadanie 6
144Zadanie 9
145Zadanie 10
145Ćwiczenie A
146Zadanie 1
148Zadanie 2
148Zadanie 3
149Zadanie 4
149Zadanie 5
150Zadanie 6
150Zadanie 7
151Zadanie 8
152Zadanie 9
152Zadanie 10
153Zadanie 11
153Zadanie 12
154Zadanie 13
154Zadanie 14
155Zadanie 4
158Zadanie 1
160Zadanie 2
160Zadanie 4
160Zadanie 12
161Zadanie 13
162Zadanie 14
162Zadanie 15
162Zadanie 16
162Zadanie 17
162Zadanie 20
163Zadanie 22
163Zadanie 23
164Zadanie 28
164Zadanie 29
164Zadanie 30
164Zadanie 31
165Zadanie 33
165Zadanie 34
165Zadanie 35
166Zadanie 36
166