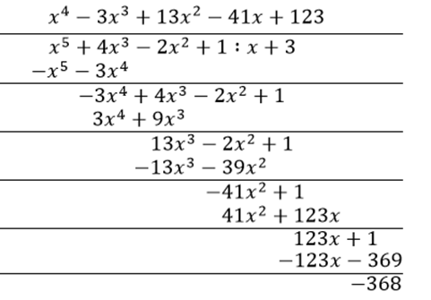
W tym zadaniu należy podzielić jeden wielomian
przez drugi
sposobem pisemnym. Oraz wyznacz resztę z dzielenia.
Reszta wynosi:
Aby wykonać to zadanie, musisz skorzystać z dzielenia pisemnego na wielomianach oraz wyznaczyć resztę z dzielenia. Dzielenie wielomianów wygląda bardzo podobnie do dzielenia pisemnego.
Zadanie 8.1
151Zadanie 8.2
151Zadanie 8.3
151Zadanie 8.4
151Zadanie 8.5
151Zadanie 8.6
152Zadanie 8.7
152Zadanie 8.8
152Zadanie 8.9
152Zadanie 8.18
153Zadanie 8.19
153Zadanie 8.20
153Zadanie 8.21
153Zadanie 8.22
154Zadanie 8.23
154Zadanie 8.24
154Zadanie 8.25
154Zadanie 8.26
154Zadanie 8.27
154Zadanie 8.28
154Zadanie 8.29
155Zadanie 8.30
155Zadanie 8.31
155Zadanie 8.32
155Zadanie 8.33
155Zadanie 8.34
155Zadanie 8.35
156Zadanie 8.36
156Zadanie 8.37
156Zadanie 8.38
156Zadanie 8.39
156Zadanie 8.40
156Zadanie 8.41
157Zadanie 8.42
157Zadanie 8.43
157Zadanie 8.44
157Zadanie 8.45
157Zadanie 8.46
157Zadanie 8.47
158Zadanie 8.67
15Zadanie 8.70
159Zadanie 8.72
159Zadanie 8.77
160Zadanie 8.86
161Zadanie 8.87
161Zadanie 8.88
161Zadanie 8.89
161Zadanie 8.90
161Zadanie 8.91
162Zadanie 8.92
162Zadanie 8.93
162Zadanie 8.94
162Zadanie 8.95
162Zadanie 8.96
162Zadanie 8.97
162Zadanie 8.102
163Zadanie 8.103
163Zadanie 8.104
163Zadanie 8.105
163Zadanie 8.106
164Zadanie 8.107
164Zadanie 8.108
164Zadanie 8.109
164Zadanie 8.110
165Zadanie 8.111
165Zadanie 8.112
165Zadanie 8.113
165Zadanie 8.114
165Zadanie 8.116
165Zadanie 8.117
166Zadanie 8.120
166Zadanie 8.121
166Zadanie 8.124
166Zadanie 8.126
167Zadanie 8.127
167Zadanie 8.128
167Zadanie 8.129
167Zadanie 8.130
167Zadanie 8.131
167Zadanie 8.132
168Zadanie 8.133
168Zadanie 8.134
168Zadanie 8.135
168Zadanie 8.136
168Zadanie 8.137
168Zadanie 8.138
168Zadanie 8.139
169Zadanie 8.140
169Zadanie 8.141
169Zadanie 8.142
169Zadanie 8.143
169Zadanie 8.144
169Zadanie 8.145
169Zadanie 8.146
170Zadanie 8.147
170Zadanie 8.148
170Zadanie 8.149
170Zadanie 8.150
170Zadanie 8.151
170Zadanie 8.152
170Zadanie 8.153
170Zadanie 8.154
171Zadanie 8.155
171Zadanie 8.157
171Zadanie 18
174Zadanie 19
174Zadanie 20
175Zadanie 22
175Zadanie 23
175Zadanie 25
175Zadanie 28
175