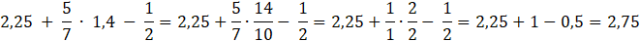
W tym zadaniu musisz obliczyć
W pierwszej kolejności wykonaj mnożenie, następnie dodawanie i odejmowanie, w kolejności zapisu. Jeśli w działaniu występują ułamki zwykłe i dziesiętne, warto zamienić ułamki na jeden rodzaj.
Ćwiczenie 1.
10Ćwiczenie 2.
11Ćwiczenie 3.
11Ćwiczenie 4.
12Zadanie 4.
12Zadanie 5.
12Zadanie 6.
12Zadanie 17.
12Ćwiczenie 1.
16Ćwiczenie 2.
17Ćwiczenie 4.
19Ćwiczenie 5.
20Zadanie 8.
21Zadanie 9.
21Zadanie 10.
21Zadanie 11.
21Zadanie 13.
21Zadanie 16.
21Zadanie 18.
22Zadanie 19.
22Zadanie 22.
22Zadanie 29.
22Zadanie 35.
23Ćwiczenie 1.
25Ćwiczenie 2.
25Ćwiczenie 3.
26Ćwiczenie 4.
26Ćwiczenie 5.
27Ćwiczenie 6.
28Ćwiczenie 7.
28Zadanie 1.
29Zadanie 2.
29Zadanie 3.
29Zadanie 4.
30Zadanie 5.
30Zadanie 6.
30Zadanie 7.
30Zadanie 8.
30Zadanie 10.
30Zadanie 11.
30Zadanie 12.
30Zadanie 15.
30Zadanie 16.
31Ćwiczenie 1.
33Ćwiczenie 2.
34Ćwiczenie 3.
34Ćwiczenie 4.
35Zadanie 1.
35Zadanie 2.
35Zadanie 3.
35Zadanie 4.
35Zadanie 5.
36Zadanie 6.
36Zadanie 12.
36Zadanie 13.
36Zadanie 19.
37Zadanie 22.
37Ćwiczenie 1.
40Ćwiczenie 2.
40Ćwiczenie 3.
40Ćwiczenie 4.
41Ćwiczenie 5.
41Ćwiczenie 6.
42Ćwiczenie 7.
42Ćwiczenie 8.
42Zadanie 1.
43Zadanie 2.
43Zadanie 7.
43Zadanie 8.
43Zadanie 9.
43Zadanie 10.
43Zadanie 11.
43Zadanie 12.
43Zadanie 25.
45Ćwiczenie 1.
46Ćwiczenie 2.
47Ćwiczenie 3.
47Ćwiczenie 4.
48Ćwiczenie 5.
48Ćwiczenie 6.
49Ćwiczenie 7.
51Zadanie 1.
51Zadanie 2.
51Zadanie 3.
51Zadanie 4.
51Zadanie 5.
51Zadanie 6.
51Zadanie 12.
52Ćwiczenie 1.
54Ćwiczenie 2.
54Ćwiczenie 4.
56Ćwiczenie 5.
57Zadanie 1.
57Zadanie 9.
58Zadanie 12.
58Zadanie 13.
58Zadanie 14.
58Zadanie 15.
58Zadanie 16.
59Zadanie 17.
59Zadanie Czy to już potrafisz? 5.
59Ćwiczenie 1.
61Ćwiczenie 2.
62Ćwiczenie 3.
63Ćwiczenie 4.
63Ćwiczenie 5.
65Ćwiczenie 6.
65Ćwiczenie 7.
66Zadanie 1.
66Zadanie 2.
66Zadanie 6.
67Zadanie 7.
67Zadanie 8.
67Zadanie 9.
67Zadanie 13.
68Zadanie 14.
68Zadanie 16.
68Zadanie 17.
68Zadanie 18.
68Zadanie 7.
70Zadanie 10.
71Zadanie 11.
71Zadanie 12.
71Zadanie 17.
71Zadanie 18.
71Zadanie 19.
71Zadanie 20.
72Zadanie 21.
72Zadanie 24.
72Zadanie 25.
72Zadanie 26.
72Zadanie 36.
74Zadanie 37.
74Zadanie 3.
8Zadanie 4.
8Zadanie 5.
8Zadanie 6.
8Zadanie 7.
8