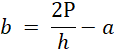
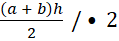
Musisz przekształcić podany wzór, aby uzyskać wskazaną wielkość.
P =
2P = ah + bh / – ah
2P – ah = bh /:h
Zadanie A
46Zadanie C
46Zadanie D
46Zadanie E
46Zadanie 1
47Zadanie 2
47Zadanie 3
47Zadanie 4
47Zadanie 5
47Zadanie 6
47Zadanie 7
48Zadanie 8
48Zadanie 9
48Zadanie 10
48Zadanie 12
48Zadanie 13
48Zadanie 14
49Zadanie 15
49Zadanie C
50Zadanie 1
52Zadanie 2
52Zadanie 3
52Zadanie 4
52Zadanie 5
52Zadanie 6
53Zadanie 7
53Zadanie 8
53Zadanie 9
53Zadanie 10
53Zadanie 11
53Zadanie 12
53Ćwiczenie A
57Ćwiczenie B
57Zadanie 1
58Zadanie 2
58Zadanie 4
58Zadanie 8
59Ćwiczenie A
60Zadanie 2
62Zadanie 3
62Zadanie 4
62Zadanie 6
65Zadanie 10
65Zadanie 1
66Zadanie 2
66Zadanie 3
66Zadanie 4
66Zadanie 5
66Zadanie 6
66Zadanie 7
66Zadanie 8
66Zadanie 10
66Zadanie 13
67Zadanie 15
67Zadanie 16
67Zadanie 18
67Zadanie 19
67Zadanie 20
67Zadanie 28
68Zadanie 29
68Zadanie 31
69Zadanie 38
69