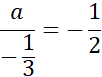
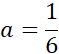
Podstaw wartość x i y do wzoru funkcji, aby obliczyć liczbę a.
Do wzoru
Zadanie 1.1.
196Zadanie 1.5.
196Zadanie 1.6.
196Zadanie 1.7.
197Zadanie 1.8.
197Zadanie 1.9.
197Zadanie 1.10.
197Zadanie 1.11.
197Zadanie 1.13.
197Zadanie 5.
198Zadanie 2.5.
202Zadanie 2.6.
202Zadanie 2.7.
202Zadanie 2.8.
202Zadanie 2.9.
202Zadanie 2.10.
202Zadanie 2.15.
203Zadanie 3.1.
206Zadanie 3.2.
206Zadanie 3.7.
207Zadanie 3.8.
207Zadanie 3.10.
207Zadanie 3.12.
207Zadanie 4.2.
211Zadanie 4.4.
211Zadanie 4.5.
211Zadanie 4.6.
211Zadanie 5.5
216Zadanie 5.6.
216Zadanie 5.11.
217Zadanie 5.12.
217Zadanie 5.13.
217Zadanie 6.3.
224Zadanie 6.4.
224Zadanie 6.5.
225Zadanie 6.6.
225Zadanie 6.9.
226Zadanie 6.10.
226Zadanie 6.11
227Zadanie 6.12.
227Zadanie 6.13.
227Zadanie 6.14.
227Zadanie 6.15.
227Zadanie 6.16.
228Zadanie 6.17.
228Zadanie 7.1.
234Zadanie 7.2.
234Zadanie 7.3.
234Zadanie 7.4.
234Zadanie 7.5.
234Zadanie 7.6.
234Zadanie 7.7.
235Zadanie 7.10.
235Zadanie 7.11.
235Zadanie 8.1.
242Zadanie 8.3.
243Zadanie 8.4.
243Zadanie 8.5.
243Zadanie 8.6.
244Zadanie 8.7.
245Zadanie 8.8.
246Zadanie 8.9.
246Zadanie 8.10.
247Zadanie 8.11.
247Zadanie 8.13.
247Zadanie 8.14.
247Zadanie 9.1.
255Zadanie 9.15.
256Zadanie 9.16.
256Zadanie 9.17.
257Zadanie 9.18.
257Zadanie 10.1.
261Zadanie 10.3.
262Zadanie 10.6.
263Zadanie 10.7.
263Zadanie 10.8.
264Zadanie 10.12.
264Zadanie 11.1.
271Zadanie 11.2.
271Zadanie 11.3.
271Zadanie 11.4.
272Zadanie 11.5.
272Zadanie 11.6.
272Zadanie 11.7.
272Zadanie 11.8.
272Zadanie 11.9.
272Zadanie 11.10.
272Zadanie 11.11.
272Zadanie 11.12.
272Zadanie 11.13.
272Zadanie 5.
273Zadanie 12.1
278Zadanie 12.2.
278Zadanie 12.3.
278Zadanie 12.4.
279Zadanie 12.6.
279Zadanie 12.7.
279Zadanie 12.8.
279Zadanie 13.4.
284Zadanie 13.5.
284Zadanie 13.6.
284Zadanie 13.7.
285Zadanie 13.8.
285Zadanie 43.
294Zadanie 44.
294Zadanie 45.
294Zadanie 48.
295Zadanie 51.
295Zadanie 59.
296Zadanie 60.
296Zadanie 61.
296Zadanie 65.
297Zadanie 67.
297Zadanie 68.
298Zadanie 69.
298